Для студентов МГТУ им. Н.Э.Баумана по предмету Интегралы и дифференциальные уравнения (ИиДУ)Определенный интегралОпределенный интеграл
5,00519
2023-01-312024-09-03СтудИзба
Ответы к контрольной работе 1: Определенный интеграл
-66%
Описание
Характеристики ответов (шпаргалок) к КР
Учебное заведение
Семестр
Номер задания
Теги
Просмотров
433
Размер
237,07 Mb
Список файлов
Решения многих билетов к РК №1
Билеты РК№1
Вариант №1.png
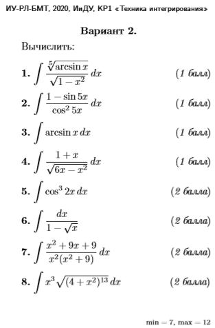
Вариант №2.png
Вариант №3.png
Вариант №4.jpg
Вариант №5.png
Вариант №6.png
Вариант №7.png
Вариант №8.png
Вариант №9.png
Вариант №10.jpg
Вариант №11.png
Вариант №12.png
Вариант №13.png
Вариант №14.png
Вариант №15.png
Вариант №16.jpg
Вариант №17.png
Вариант №18.png
Вариант №19.png
Вариант №20.png
Вариант №21.png
Вариант №22.jpg
Вариант №23.png
Вариант №24.png
Вариант №25.png
Вариант №26.png
Вариант №27.png
Вариант №28.jpg
Вариант №29.png

Друзья, спасибо за доверие! Если вам понравилась работа – поставьте 5⭐ и напишите отзыв. Это поможет другим студентам, а мне даст силы делать ещё больше качественных материалов для вас 🔥