Для студентов СПбПУ Петра Великого по предмету ИнформатикаАлгоритмы и основы алгоритмизацииАлгоритмы и основы алгоритмизации
5,0051
2022-11-152022-11-15СтудИзба
Лабораторная работа 2: Алгоритмы и основы алгоритмизации
Описание
Цель работы
Приобретение умений проектирования, представления в виде блок-схемы и чтения вычислительных алгоритмов решения задач.Задание
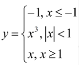
Разработать алгоритм вычисления значения функции и представить его в виде блок-схемы
Характеристики лабораторной работы
Предмет
Учебное заведение
Номер задания
Просмотров
9
Размер
62,52 Kb
Список файлов
Лаба 2 грамотность.docx

Если нужен другой вариант работы или отдельная задача из любой работы, пишите в комментарии