Для студентов СПбПУ Петра Великого по предмету ИнформатикаАлгоритмы и основы алгоритмизацииАлгоритмы и основы алгоритмизации
5,0053210
2022-11-152022-11-15СтудИзба
Лабораторная работа 2: Алгоритмы и основы алгоритмизации
Описание
Цель работы
Приобретение умений проектирования, представления в виде блок-схемы и чтения вычислительных алгоритмов решения задач.Задание
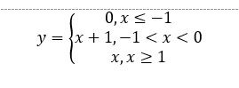
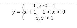
Разработать алгоритм вычисления значения функции и представить его в виде блок-схемы

Характеристики лабораторной работы
Предмет
Учебное заведение
Номер задания
Просмотров
5
Размер
76,74 Kb
Список файлов
ЦГ2.docx

Если нужен другой вариант работы или отдельная задача из любой работы, пишите в комментарии