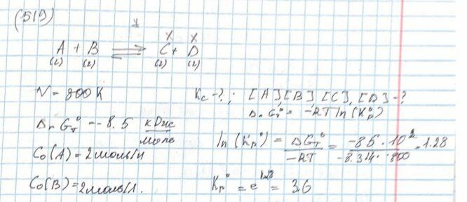
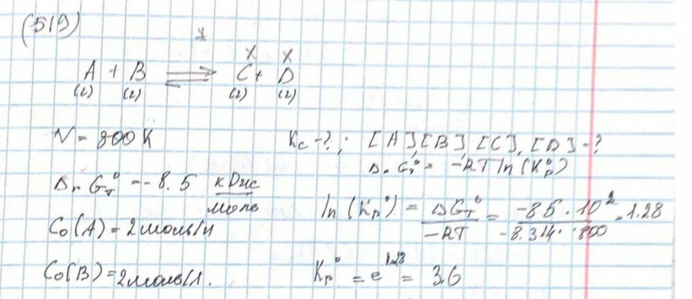
Для студентов по предмету ХимияЗадача 519: В задачах 506 – 521 для гомогенной реакции А + В = С + D рассчитайте константу равновесия и равновесный состав системы при температуре Т, Задача 519: В задачах 506 – 521 для гомогенной реакции А + В = С + D рассчитайте константу равновесия и равновесный состав системы при температуре Т,
5,00525
2022-03-152024-09-22СтудИзба
Задача 519: В задачах 506 – 521 для гомогенной реакции А + В = С + D рассчитайте константу равновесия и равновесный состав системы при температуре Т, если известны 0 Δr T G и начальные концентрации С0 исходных веществ. Продукты реакции в начальный мо
-37%
Описание
Зачтено на максимальный балл
Задача 519: В задачах 506 – 521 для гомогенной реакции А + В = С + D рассчитайте константу равновесия и равновесный состав системы при температуре Т, если известны 0 Δr T G и начальные концентрации С0 исходных веществ. Продукты реакции в начальный момент времени отсутствуют.519 | 800 | -8,5 | 2 | 2 |

Характеристики решённой задачи
Предмет
Номер задания
Теги
Просмотров
365
Размер
3,34 Mb
Список файлов
519.pdf

Друзья, спасибо за доверие! Если вам понравилась работа – поставьте 5⭐ и напишите отзыв. Это поможет другим студентам, а мне даст силы делать ещё больше качественных материалов для вас 🔥