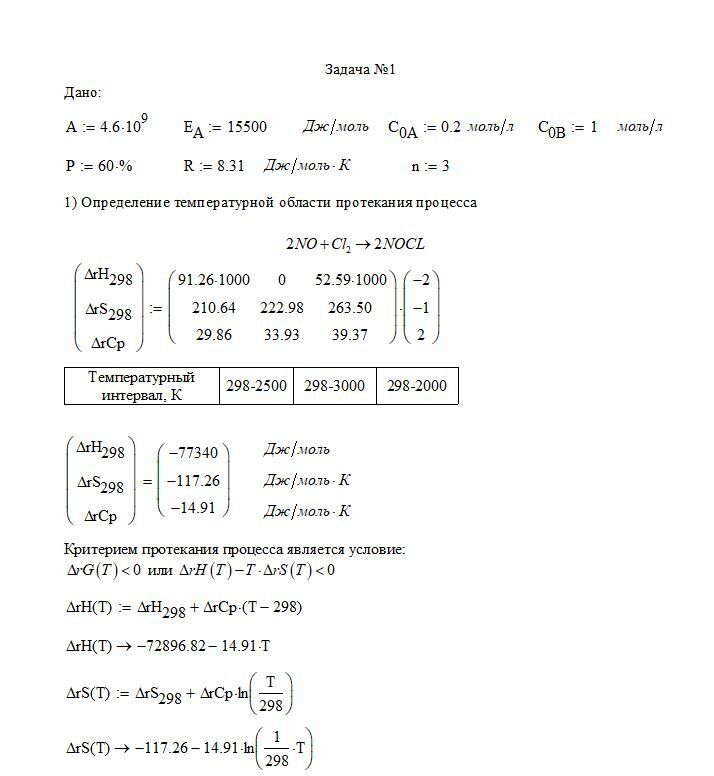
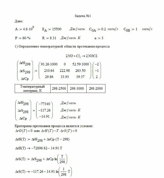
Для студентов НИУ «МЭИ» по предмету ХимияВариант 22 - Типовой расчет №4 - Кинетика простых реакцийВариант 22 - Типовой расчет №4 - Кинетика простых реакций
4,90547520
2021-10-242021-10-24СтудИзба
ДЗ: Вариант 22 - Типовой расчет №4 - Кинетика простых реакций вариант 22
Описание
Характеристики домашнего задания
Предмет
Учебное заведение
Семестр
Вариант
Просмотров
4
Размер
655,65 Kb
Список файлов
Вариант 22
ТР4_В22_Задача_01.mcd
Химия_ТР4_22.doc

Друзья, спасибо за доверие! Если вам понравилась работа – поставьте 5⭐ и напишите отзыв. Это поможет другим студентам, а мне даст силы делать ещё больше качественных материалов для вас 🔥