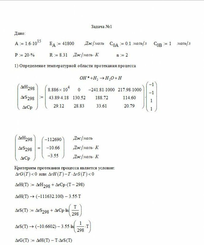
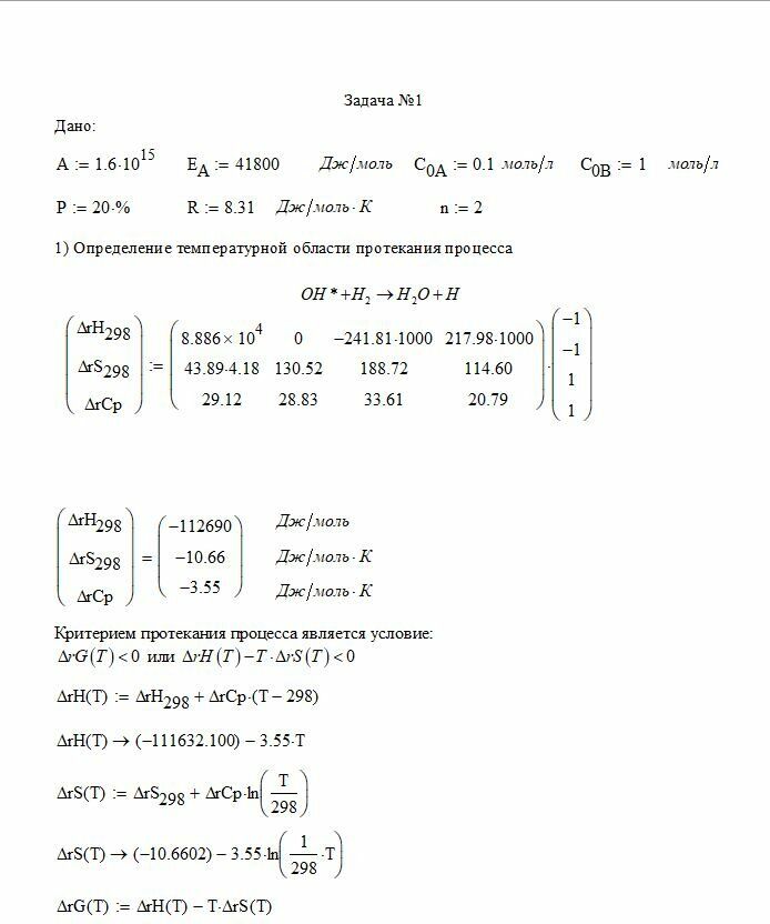
Для студентов НИУ «МЭИ» по предмету ХимияВариант 18 - Типовой расчет №4 - Кинетика простых реакцийВариант 18 - Типовой расчет №4 - Кинетика простых реакций
4,90547359
2021-10-242021-10-24СтудИзба
ДЗ: Вариант 18 - Типовой расчет №4 - Кинетика простых реакций вариант 18
Описание
Характеристики домашнего задания
Предмет
Учебное заведение
Семестр
Вариант
Просмотров
7
Размер
934,42 Kb
Список файлов
Вариант 18
ТР4_В18_Задача_01.mcd
ТР4_В18_Задача_02.mcd
Химия_ТР4_18.doc

Друзья, спасибо за доверие! Если вам понравилась работа – поставьте 5⭐ и напишите отзыв. Это поможет другим студентам, а мне даст силы делать ещё больше качественных материалов для вас 🔥