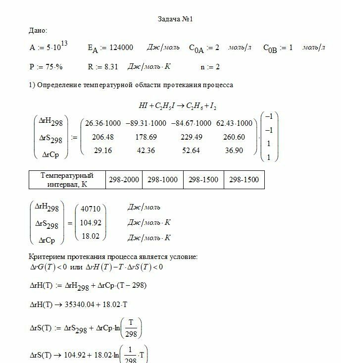
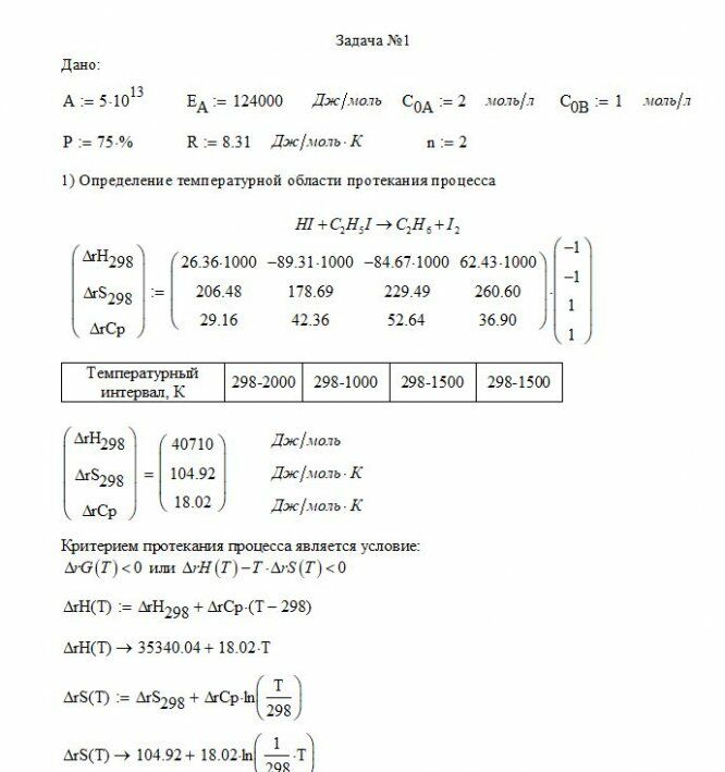
Для студентов НИУ «МЭИ» по предмету ХимияВариант 13 - Типовой расчет №4 - Кинетика простых реакцийВариант 13 - Типовой расчет №4 - Кинетика простых реакций
4,90547657
2021-10-242021-10-24СтудИзба
ДЗ: Вариант 13 - Типовой расчет №4 - Кинетика простых реакций вариант 13
Описание
Характеристики домашнего задания
Предмет
Учебное заведение
Семестр
Вариант
Просмотров
6
Размер
42,79 Kb
Список файлов
Вариант 13
Химия_ТР4_13.doc

Друзья, спасибо за доверие! Если вам понравилась работа – поставьте 5⭐ и напишите отзыв. Это поможет другим студентам, а мне даст силы делать ещё больше качественных материалов для вас 🔥