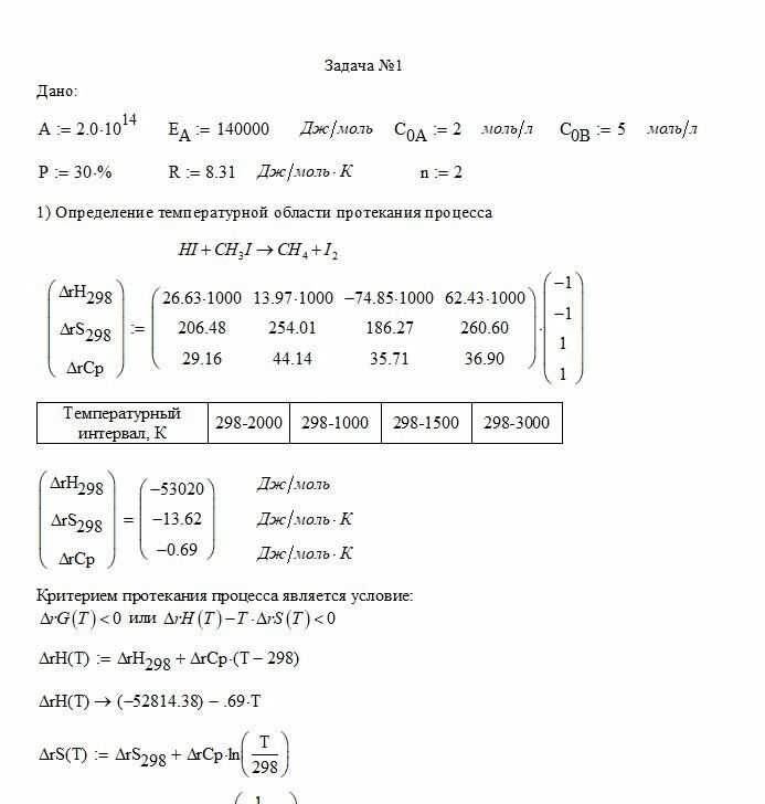
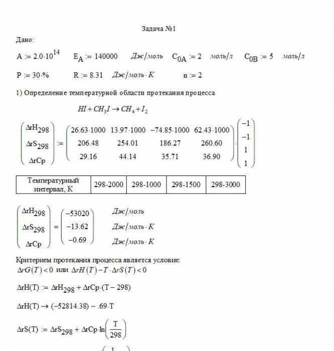
Для студентов НИУ «МЭИ» по предмету ХимияВариант 12 - Типовой расчет №4 - Кинетика простых реакцийВариант 12 - Типовой расчет №4 - Кинетика простых реакций
4,90547308
2021-10-242021-10-24СтудИзба
ДЗ: Вариант 12 - Типовой расчет №4 - Кинетика простых реакций вариант 12
Описание
Характеристики домашнего задания
Предмет
Учебное заведение
Семестр
Вариант
Просмотров
7
Размер
1,08 Mb
Список файлов
Вариант 12
ТР4_В12_Задача_01.mcd
ТР4_В12_Задача_02.mcd
Химия_ТР4_12.doc

Друзья, спасибо за доверие! Если вам понравилась работа – поставьте 5⭐ и напишите отзыв. Это поможет другим студентам, а мне даст силы делать ещё больше качественных материалов для вас 🔥