Для студентов МГТУ им. Н.Э.Баумана по предмету ФизикаЗадача 5.1Задача 5.1
4,97514426
2024-10-082024-10-08СтудИзба
Вариант 8 - ДЗ №1 - Задача 5.1.08
Задача 5.1 вариант 8
Описание
Задача из типовика №1, зачтена на максимальный балл
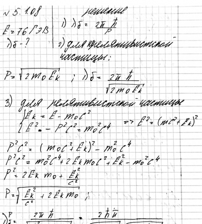
Условие:
Решение:
Показать/скрыть дополнительное описание
Условие:


Типовой расчёт по физике МГТУ .
Характеристики решённой задачи
Предмет
Учебное заведение
Семестр
Номер задания
Вариант
Программы
Просмотров
6
Качество
Скан рукописных листов
Размер
1,99 Mb
Список файлов
5.1.08 800.pdf

Спасибо за покупку! Я буду очень рад, если поставишь справедливую оценку купленному файлу :3 Ищи больше работ в моём профиле, там много нужного тебе!