Для студентов МГТУ им. Н.Э.Баумана по предмету ФизикаЭлектромагнитная индукцияЭлектромагнитная индукция
4,97514494
2023-08-062025-10-14СтудИзба
Вариант 17 - Задача 3 "Электромагнитная индукция"
Задача 3: Электромагнитная индукция вариант 17
-25%
Описание
Типовой расчет по физике №2, задача "Электромагнитная индукция", зачтено
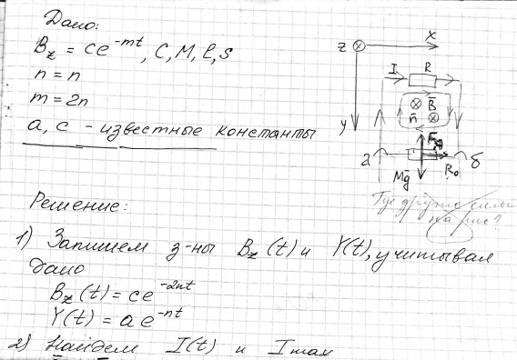
Условие:
Решение:
Показать/скрыть дополнительное описание
Условие:




Типовой расчет по физике МГТУ 3 семестр домашнее задание магнитостатика электростатика индукция волны.
Характеристики решённой задачи
Предмет
Учебное заведение
Семестр
Номер задания
Вариант
Просмотров
8
Качество
Скан рукописных листов
Размер
5,83 Mb
Список файлов
Вариант 17 Индукция 718.pdf

Спасибо за покупку! Я буду очень рад, если поставишь справедливую оценку купленному файлу :3 Ищи больше работ в моём профиле, там много нужного тебе!