Для студентов МГТУ им. Н.Э.Баумана по предмету ФизикаЗадача 5.1 + Задача 5.2Задача 5.1 + Задача 5.2
5,0051
2024-10-082024-10-08СтудИзба
Вариант 6 - ДЗ №1 - Задачи 5.1.06 и 5.2.06
ДЗ 1: Задача 5.1 + Задача 5.2 вариант 6
-25%
Описание
Задачи из типовика №1, зачтены на максимальный балл
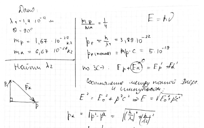
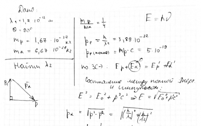
Задача 1:
Задача 2:
Показать/скрыть дополнительное описание
Задача 1:




Типовой расчёт по физике МГТУ.
Характеристики домашнего задания
Предмет
Учебное заведение
Семестр
Номер задания
Вариант
Программы
Просмотров
9
Качество
Скан рукописных листов
Размер
3,02 Mb
Список файлов
5.1.06 787.pdf
5.2.06 51.pdf

Спасибо за покупку! Я буду очень рад, если поставишь справедливую оценку купленному файлу :3 Ищи больше работ в моём профиле, там много нужного тебе!