Для студентов МГТУ им. Н.Э.Баумана по предмету ФизикаДинамика материальной точки + Динамика вращательного движенияДинамика материальной точки + Динамика вращательного движения
5,0052
2024-03-272024-09-03СтудИзба
ДЗ 1: Динамика материальной точки + Динамика вращательного движения вариант 27
-70%
Описание
Вариант 27 - ДЗ №1 - Динамика материальной точки + Динамика вращательного движения
Зачтено на максимальный балл 💥 💥 💥
Спасибо за покупку 🥰🥰🥰
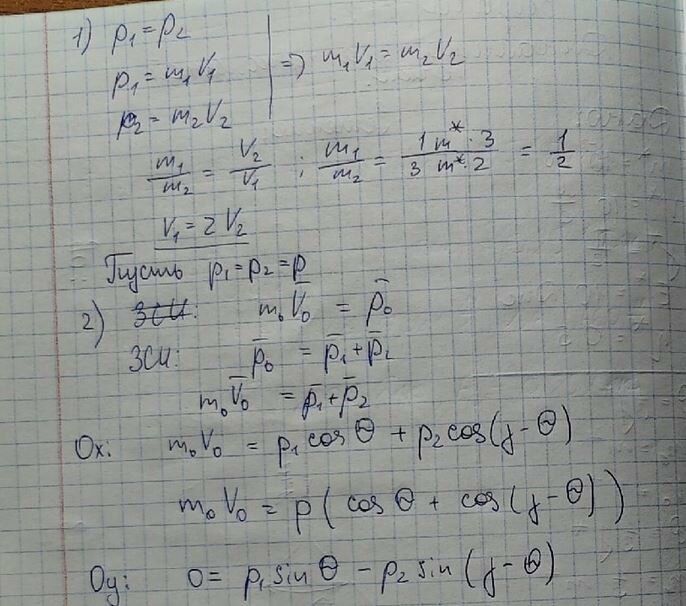
Вариант 27 - задача №1 - Динамика материальной точки


Вариант 27 - Задача №2 - Динамика вращательного движения

Характеристики домашнего задания
Предмет
Учебное заведение
Семестр
Номер задания
Вариант
Программы
Просмотров
121
Размер
15,19 Mb
Список файлов
Вариант 27 - ДЗ №1 - Динамика материальной точки.pdf
Вариант 27 - ДЗ №2 - Динамика материальной точки.pdf

Друзья, спасибо за доверие! Если вам понравилась работа – поставьте 5⭐ и напишите отзыв. Это поможет другим студентам, а мне даст силы делать ещё больше качественных материалов для вас 🔥