Для студентов МГТУ им. Н.Э.Баумана по предмету ФизикаЗадача 5.1 + Задача 5.2Задача 5.1 + Задача 5.2
4,845302
2021-03-052024-09-03СтудИзба
ДЗ 1: Задача 5.1 + Задача 5.2 вариант 13
-70%
Описание
Вариант 13 - ДЗ №1 - Задача 5.1.13 и 5.2.13
Зачтено на максимальный балл 💥 💥 💥
Спасибо за покупку 🥰🥰🥰
Задача 5.1.13
5.1.13. Используя соотношение неопределенностей энергии и времени, определите среднее время жизни атома в возбужденном состоянии , если естественная ширина спектральной линии излучения атома при переходе его из возбужденного состояния в основное 20 фм, а длина волны излучения = 600 нм.
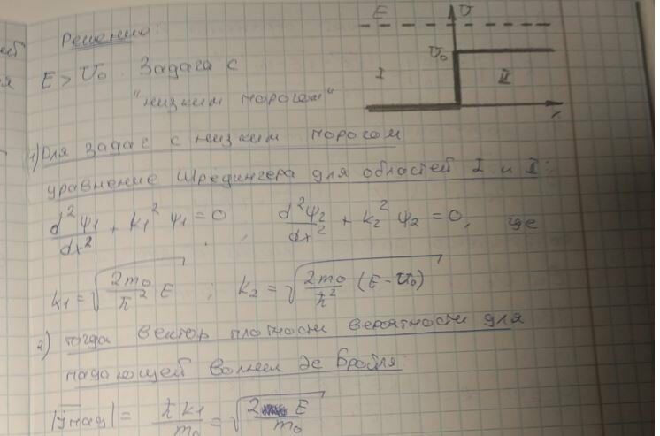
Вариант 13 - ДЗ №1 - Задача 5.2.13 ![]()

Характеристики домашнего задания
Предмет
Учебное заведение
Семестр
Номер задания
Вариант
Просмотров
503
Размер
2,61 Mb
Список файлов
5.1.13.jpg
5.2.13.docx

Друзья, спасибо за доверие! Если вам понравилась работа – поставьте 5⭐ и напишите отзыв. Это поможет другим студентам, а мне даст силы делать ещё больше качественных материалов для вас 🔥
Комментарии

Отзыв
Все точно и верн

Отзыв
все верно