Для студентов МГТУ им. Н.Э.Баумана по предмету ФизикаЭлектромагнитная индукция + Электромагнитные волныЭлектромагнитная индукция + Электромагнитные волны
5,0059
2020-12-232024-09-04СтудИзба
Вариант 22 - Дз-2 "Электромагнитная индукция" + "Электромагнитные волны"
ДЗ 2: Электромагнитная индукция + Электромагнитные волны вариант 22
-25%
Описание
Типовой расчет по физике №2, 2 задачи: "Электромагнитная индукция" и "Электромагнитные волны", зачтено
Задача 1:
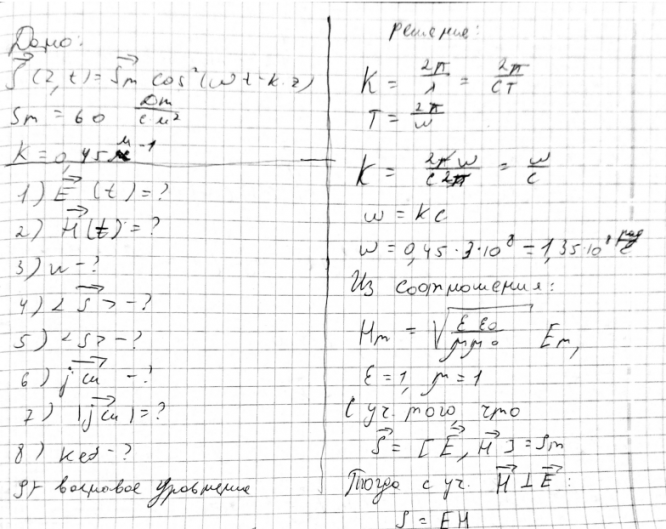
Задача 2:
Показать/скрыть дополнительное описание
Задача 1:




Задача 2:




Типовой расчет по физике МГТУ 3 семестр домашнее задание магнитостатика электростатика индукция волны.
Характеристики домашнего задания
Предмет
Учебное заведение
Семестр
Номер задания
Вариант
Просмотров
113
Качество
Скан рукописных листов
Размер
12,77 Mb
Список файлов
Вариант 22 Волны 776.pdf
Вариант 22 Индукция 606.pdf

Спасибо за покупку! Я буду очень рад, если поставишь справедливую оценку купленному файлу :3 Ищи больше работ в моём профиле, там много нужного тебе!