Для студентов НИУ «МЭИ» по предмету ФизикаРешнные задачи по теме " постоянный электрический ток"Решнные задачи по теме " постоянный электрический ток"
4,90547034
2021-09-242021-09-24СтудИзба
Ответы к экзамену: Решнные задачи по теме " постоянный электрический ток"
Описание
Файлы условия, демо
Характеристики ответов (шпаргалок) к экзамену
Предмет
Учебное заведение
Семестр
Просмотров
1
Размер
3,24 Mb
Список файлов
постоянный электрический ток
Безымянный.JPG
аккумулятор ЭДС которого.JPG
аккумулятор внутриннем сопротивлением которого можно принебречь.JPG
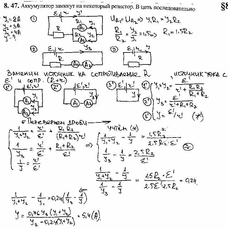
аккумулятор замкнут на некоторый резистор.JPG
аккумулятор с внутренним сопротивлением 0,08Ом.JPG
аккумулятор с электордвижущей силой E.JPG
амперметр накоротко присоединили к ЭДС=1,6В.JPG
амперметр расчитан на измерение.JPG
батарея из n одинаковых аккумуляторов.JPG
батарея составлена из N одинаковых элементов так, что.JPG
батарея состоит из параллельно соединенных.JPG
в конце зарядки аккумуляторра сила тока =4А.JPG
в схеме Е=12В Р1=29Ом.JPG
в элек цепь, состой из аккум и подключь.JPG
в электрич чайнике мощностью=800Вт.JPG
в электрический чайник мощностью N900Вт налили V=2л.JPG
в электрическо цепи параметры Р1 и Р2 заданы.JPG
в электрической цепи все вольтметры одинаковые.JPG
в электрической цепи состоящей из пяти одинаковых элементов.JPG
в электролитической ванне.JPG
во сколько раз следует повысить напряжение.JPG
воду налитую в кастрюлю.JPG
вольтметр со шкалой, расчитанной на предельное напр100В.JPG
вольтметр соединён последовательно с резистором.JPG
два аккума с ЭДС Е1=57В.JPG
два источника ЭДС Е=4 и Е=6.JPG
два нагревательных элемента, подключенные в сеть с напр.JPG
два одинаковых источника тока с ЭДС.JPG
два проводника с температурным коэффициентами.JPG
два проводника с темпиратурными коэффициентами электрического.JPG

Друзья, спасибо за доверие! Если вам понравилась работа – поставьте 5⭐ и напишите отзыв. Это поможет другим студентам, а мне даст силы делать ещё больше качественных материалов для вас 🔥