Для студентов МГТУ им. Н.Э.Баумана по предмету Финансовые наукиТФКП 1-ое типовое дз 3 ВариантТФКП 1-ое типовое дз 3 Вариант
2022-03-022022-03-02СтудИзба
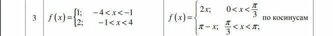
ДЗ: ТФКП 1-ое типовое дз 3 Вариант вариант 7
Описание
Характеристики домашнего задания
Предмет
Учебное заведение
Семестр
Вариант
Просмотров
7
Качество
Фото рукописных листов
Размер
2 Mb
Список файлов
ТФКП 1-ое дз спецы 3 вариант.pdf
ТФКП 1-ое дз спецы 3 вариант.pdf
Комментарии
Нет комментариев
Стань первым, кто что-нибудь напишет!
МГТУ им. Н.Э.Баумана
dont___mind

















