Для студентов по предмету Электротехника (ЭлТех)В цепь переменного тока частотой 50 Гц включена катушка, обладающая активным сопротивлением r и индуктивным сопротивлением xL. К цепи приложено напряжВ цепь переменного тока частотой 50 Гц включена катушка, обладающая активным сопротивлением r и индуктивным сопротивлением xL. К цепи приложено напряж
5,0055
2021-12-212021-12-21СтудИзба
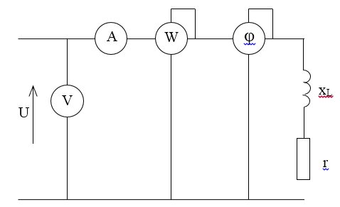
В цепь переменного тока частотой 50 Гц включена катушка, обладающая активным сопротивлением r и индуктивным сопротивлением xL. К цепи приложено напряжение u=Um∙sinωt. Определить показания измерительных приборов, включенных в цепь, а также реактивную
Описание
В цепь переменного тока частотой 50 Гц включена катушка, обладающая активным сопротивлением r и индуктивным сопротивлением xL. К цепи приложено напряжение u=Um∙sinωt. Определить показания измерительных приборов, включенных в цепь, а также реактивную мощность цепи. Построить треугольник сопротивлений и векторную диаграмму.
Дано:
r = 6,34 Ом
xL = 4,9 Ом
Um = 282 В
u=Um∙sinωt
f = 50 Гц
Найти:
U, I, cosφ, P, Q, S
Характеристики решённой задачи
Предмет
Программы
Просмотров
48
Качество
Идеальное компьютерное
Размер
56,18 Kb
Список файлов
Задача1.docx
