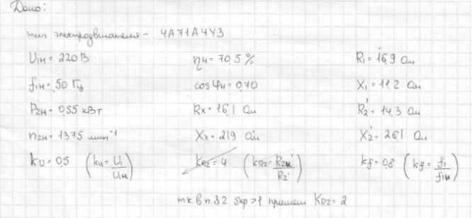
Для студентов МГТУ им. Н.Э.Баумана по предмету Электротехника (ЭлТех)ДЗ №2 Вариант №21 Расчет характеристик трехфазного асинхронного двигателяДЗ №2 Вариант №21 Расчет характеристик трехфазного асинхронного двигателя
4,975181
2020-12-042020-12-04СтудИзба
ДЗ 2: ДЗ №2 Вариант №21 Расчет характеристик трехфазного асинхронного двигателя вариант 21
Описание
Характеристики домашнего задания
Предмет
Учебное заведение
Семестр
Номер задания
Вариант
Просмотров
51
Размер
11,15 Mb
Список файлов
ДЗ2 Агзамова СМ1-51Б.pdf
МГТУ им. Н.Э.Баумана
















