Для студентов МГТУ им. Н.Э.Баумана по предмету Электротехника (ЭлТех)Анализ установившихся и переходных режимов в линейных электрических цепях (Вариант 1 Б)Анализ установившихся и переходных режимов в линейных электрических цепях (Вариант 1 Б)
5,0055
2021-03-132024-09-03СтудИзба
Курсовая работа: Анализ установившихся и переходных режимов в линейных электрических цепях (Вариант 1 Б) вариант 1
-60%
Описание
Анализ установившихся и переходных режимов в линейных электрических цепях
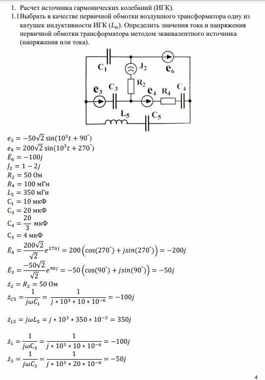
1.Расчет источника гармонических колебаний (ИГК). 1.1)Выбрать в качестве первичной обмотки воздушного трансформатора одну из катушек индуктивности ИГК (
![]()
1.Расчет источника гармонических колебаний (ИГК). 1.1)Выбрать в качестве первичной обмотки воздушного трансформатора одну из катушек индуктивности ИГК (



Характеристики курсовой работы
Предмет
Учебное заведение
Вариант
Теги
Просмотров
289
Размер
996,82 Kb
Список файлов
Анализ установившихся и переходных режимов.pdf

Друзья, спасибо за доверие! Если вам понравилась работа – поставьте 5⭐ и напишите отзыв. Это поможет другим студентам, а мне даст силы делать ещё больше качественных материалов для вас 🔥