Для студентов ИДДО НИУ «МЭИ» по предмету Электротехника (ЭлТех)Расчет однофазных линейных цепей в установившемся режимеРасчет однофазных линейных цепей в установившемся режиме
4,96530030
2023-01-132023-01-13СтудИзба
Ответы к контрольной работе 7: Расчет однофазных линейных цепей в установившемся режиме
Описание
Расчет однофазных линейных цепей в установившемся режиме
- 1. Будет ли кривая тока в неразветвленной части цепи, состоящей из параллельно включенных резистора и емкости совпадать по форме с кривой тока, если на входе действует несинусоидальная ЭДС?
- 2. Продолжите предложение. При изменении частоты в два раза средние и действующие значения синусоидальных величин...
- 3. При каком значении R в ветви (a,b) с током I выделится максимальная мощность? Схема электрической цепи изображена на рисунке.
- 4. Может ли входное реактивное сопротивление трансформатора быть меньше реактивного сопротивления первичной обмотки?
- 5. Может ли напряжение на одной из синусоидально-связанных катушек отставать по фазе от тока в одной из катушек?
- 6. Продолжите предложение. Если кривая мгновенного значения несинусоидального тока симметрична относительно оси абсцисс, то ряд Фурье...
- 7. В цепи действует несколько ЭДС. По методу наложения ток в каждой ветви может быть найден как алгебраическая сумма частичных токов, создаваемых каждый по отдельности. Можно ли определить мощность каждой ветви суммированием мощностей, обусловленных каждым частичным током?
- 8. Продолжите уравнение. Для двух синусоидальных величин, имеющих одинаковую амплитуду, угловую частоту, но разные начальные фазы, средние и действующие значения ...
- 9. Может ли двухполюсник иметь разные схемы замещения при разных частотах?
- 10. Может ли входное активное сопротивление трансформатора быть меньше активного сопротивления первичной обмотки?
- 11. Определите мощность источника тока в схеме, изображенной на рисунке.
- 12. Цепь переменного тока содержит синусоидальный источник ЭДС и резистор. Какие элементы необходимо включить в цепь, чтобы вдвое уменьшить эквивалентную проводимость, оставив неизменным активное сопротивление?
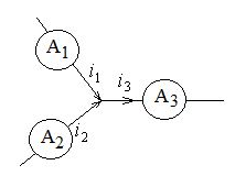
- 13. Для синусоидальных токов известно показание приборов электромагнитной системы А1, А2 и А3. Возможно ли, чтобы показания приборов были одинаковыми?
- 14. Продолжите выражение. Законы Киргофа могут быть записаны для...
- 15. Определите напряжение на источнике тока в схеме, изображенной на рисунке.
- 16. Сколько необходимо уравнений, составленных по первому закону Кирхгофа, для схемы, изображенной на рисунке (прибор - идеальный).
- 17. В цепи, схема которой изображена на рисунке, действует постоянная ЭДС. Известно показание вольтметра V1=100 В. Определите показания вольтметров V2 и V3.
- 18. Можно ли изменить активную проводимость двухполюсника (R, X), не изменяя активного сопротивления?
- 19. Продолжите предложение. При увеличении частоты синусоидального тока параметры R, L и C линейных элементов...
- 20. Как влияют реактивные элементы при заданной кривой несинусоидального ЭДС на сходе RC цепи или RL цепи на форму кривой тока?
Характеристики ответов (шпаргалок) к КР
Предмет
Учебное заведение
Семестр
Номер задания
Программы
Теги
Просмотров
29
Качество
Идеальное компьютерное
Размер
2,03 Mb
Список файлов
Расчет однофазных линейных цепей в установившемся режиме.pdf

Вам все понравилось? Получите кэшбэк - 40 рублей на Ваш счёт при покупке. Поставьте оценку и напишите положительный комментарий к купленному файлу. После Вы получите деньги на ваш счет.