Для студентов НИУ «МЭИ» по предмету ЭлектродинамикаДЗ №1 - Часть 3 - "Электродинамика"ДЗ №1 - Часть 3 - "Электродинамика"
4,97514413
2023-05-012025-02-11СтудИзба
ДЗ: ДЗ №1 - Часть 3 - "Электродинамика"
-43%
Описание
Зачтенный типовой расчет по электродинамике, часть 3
+ КОД
Условие:
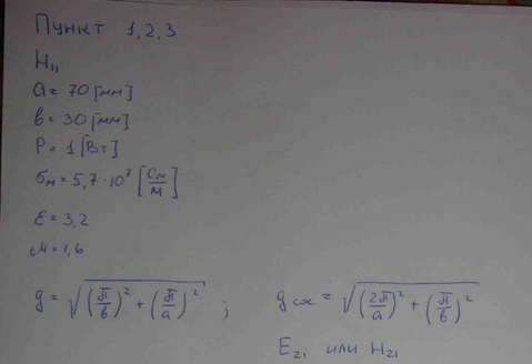
Электромагнитная волна заданного типа распространяется в прямоугольном или круглом волноводе с заданными размерами поперечного сечения a, b или r0 (см. таблицу). Волновод заполнен воздухом, стенки выполнены из меди. Вредняя мощность, переносимая волной заданного типа в сечении z=0, равна P0 (см. таблицу). Выполните следующее задание.
Пример оформления:
Показать/скрыть дополнительное описание
+ КОД
Условие:
Электромагнитная волна заданного типа распространяется в прямоугольном или круглом волноводе с заданными размерами поперечного сечения a, b или r0 (см. таблицу). Волновод заполнен воздухом, стенки выполнены из меди. Вредняя мощность, переносимая волной заданного типа в сечении z=0, равна P0 (см. таблицу). Выполните следующее задание.
Пример оформления:






Типовой расчет по электродинамике 1 МЭИ физика.
Характеристики домашнего задания
Предмет
Учебное заведение
Семестр
Программы
Просмотров
9
Качество
Фото рукописных листов
Размер
888,41 Kb
Список файлов
ТР1 - Часть 3 ЭД.docx
ТР1 - Часть 3 ЭД.xmcd

Спасибо за покупку! Я буду очень рад, если поставишь справедливую оценку купленному файлу :3 Ищи больше работ в моём профиле, там много нужного тебе!