Для студентов МГТУ им. Н.Э.Баумана по предмету Дискретная математикаДискретная математикаДискретная математика
2016-06-302016-06-30СтудИзба
ДЗ 1, 2: Дискретная математика вариант 2
Описание
Домашнее задание №1
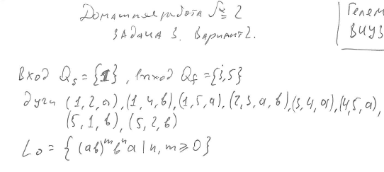
Домашнее задание №2
![]()







Характеристики домашнего задания
Предмет
Учебное заведение
Семестр
Вариант
Просмотров
2409
Качество
Скан рукописных листов
Размер
2,7 Mb
Список файлов

Вам все понравилось? Получите кэшбэк - 40 рублей на Ваш счёт при покупке. Поставьте оценку и напишите положительный комментарий к купленному файлу. После Вы получите деньги на ваш счет.