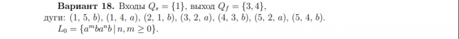
Для студентов МГТУ им. Н.Э.Баумана по предмету Дискретная математика18 ВАРИАНТ Задание 3 на Кон. автоматы (ДЗ ”Дискретная математика”, СУЦ 5,8, 5-й сем) 18 ВАРИАНТ Задание 3 на Кон. автоматы (ДЗ ”Дискретная математика”, СУЦ 5,8, 5-й сем)
5,00515
2019-12-122019-12-12СтудИзба
ДЗ: 18 ВАРИАНТ Задание 3 на Кон. автоматы (ДЗ ”Дискретная математика”, СУЦ 5,8, 5-й сем)
Бестселлер
Описание
Характеристики домашнего задания
Предмет
Учебное заведение
Семестр
Просмотров
522
Качество
Скан рукописных листов
Размер
6,98 Mb
Список файлов
1.1.jpg
2.jpg
3.3.jpg
4.jpg
Задание.png
Комментарии
Нет комментариев
Стань первым, кто что-нибудь напишет!
МГТУ им. Н.Э.Баумана
Viktor_zebra

















