Курсовая работа: Развитие потребительского кредитования в Российской экономике
Описание
Реферат
Курсовая работа 36 с., 5 табл., 4 рис., 15 источников
ПОТРЕБИТЕЛЬСКИЙ КРЕДИТ, БАНКИ, БАНКОВСКАЯ ДЕЯТЕЛЬНОСТЬ, МЕХАНИЗМЫ, УСЛОВИЯ, ПРОБЛЕМЫ, СОВЕРШЕНСТВОВАНИЕ
Объектом исследования является ПАО «Сбербанк».
Целью курсовой работы является предложить направления совершенствования системы потребительского кредитования в современных условиях.
В теоретическом разделе курсовой работы рассмотрены сущность, понятие, формы и виды потребительских кредитов. Особое внимание уделено специфике и роли потребительского кредитования.
В аналитическом разделе работы проанализировано развитие потребительского кредитования на примере банка ПАО «Сбербанк».
В результате исследования выявлены недостатки и предложено совершенствование системы потребительского кредитования в современных условиях.
Содержание
Введение……………………………………………………………………... | 5 |
1 Теоретические основы потребительского кредитования……………….. | 7 |
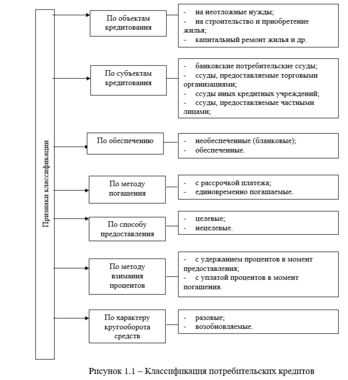
1.1 Понятие потребительского кредита, его сущность…………………. 1.2 Формы и виды потребительских кредитов…………………………... 1.3 Специфика и роль потребительского кредитования………………... | 7 11 17 |
2 Анализ развития потребительского кредитования на примере банка ПАО «Сбербанк»…………………………………………………………... | 21 |
2.1 Анализ структуры выданных кредитов потребительского кредитования в России (на примере ПАО «Сбербанк»)…………… 2.2 Анализ состояния и динамики рынка потребительского кредитования в России………………………………………………… | 21 25 |
3 Совершенствование системы потребительского кредитования в современных условиях………………………………………………….. | 29 |
Заключение…………………………………………………………………… Список использованных источников……………………………………….. | 33 35 |


