Курсовая работа: Банковские пластиковые карты как современный инструмент безналичных расчетов на примере Сбербанк
Описание
Реферат
Курсовая работа 42 с., 5 рис., 7 табл., 15 источников, 3 приложения.
БЕЗНАЛИЧНЫЙ РАСЧЕТ, ПЛАТЕЖНЫЕ КАРТЫ, ЭМИССИЯ КАРТ, ЭКВАЙРИНГ, ПЛАТЕЖНЫЕ СИСТЕМЫ, ПАО «СБЕРБАНК», АНАЛИЗ, СТРУКТУРА, ДИНАМИКА, СОВЕРШЕНСТВОВАНИЕ.
Объект: ПАО «Сбербанк РФ».
Цель работы: предложить направления совершенствования безналичных расчетов на основе банковских карт в ПАО «Сбербанк РФ».
В первом разделе курсовой работы рассмотрены основные понятия, функции и виды банковских карт, как инструмент безналичного расчета. Особое внимание уделено развитию банковских карт в России на (современном) этапе.
Во втором разделе курсовой работы проведен анализ динамики развития банковских карт и платежных систем на примере ПАО «Сбербанка», а также получившие распространение на российском рынке.
В третьем разделе курсовой работы сделаны выводы и разработаны пути совершенствования безналичных расчетов на основе банковских карт в ПАО «Сбербанк».
Содержание
Введение………………………………………………………………….....5
1 Сущность и значение банковских пластиковых карт..…….…………..7
1.1 История возникновения пластиковых карт…………………………7
1.2 Понятие и виды банковских пластиковых карт……….………...….9
1.3 Российский и зарубежный опыт использования пластиковых карт в расчетах……………………………………………………………...…………15
2 Анализ безналичных расчетов с использованием пластиковых карт ПАО «Сбербанк»……………...…………………………………………….….22
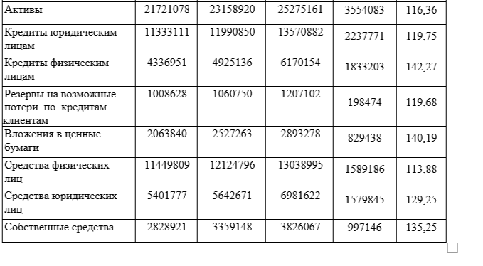
2.1 Организационно-экономическая характеристика банка……..…22
2.2 Анализ операций ПАО «Сбербанк» с пластиковыми картами…………………………………………………………………………...26
3 Основные направления совершенствования безналичных расчетов на основе банковских карт в ПАО «Сбербанк»…...........................................33
Заключение………………………………….…………………………….36
Список использованных источников……………………………....……38
Приложение А…………………………………….……………………....40
Приложение Б……………………………………..………………………41
Приложение В………………………………………..……………………42
КубГТУ
Линка-ли

















