Для студентов НГТУ по предмету Цифровая обработка сигналов (ЦОС)Расчетно-графическое задание №1Расчетно-графическое задание №1
4,96530029
2022-10-062022-10-06СтудИзба
ДЗ 1: Расчетно-графическое задание №1 вариант 8-3
Описание
Часть 1
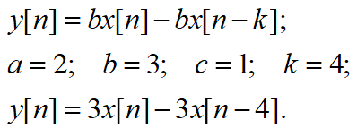
По разностному уравнению цифровых цепей проверьте их физическую реализуемость (казуальность), стационарность, линейность и устойчивостьЗапишем заданное разностное уравнение с учетом варианта 8, подварианта 3:

Часть 2
Дано разностное уравнение:
Запишем коэффициенты с учетом варианта 8, подварианта 3:


Характеристики домашнего задания
Учебное заведение
Семестр
Номер задания
Вариант
Программы
Просмотров
3
Качество
Идеальное компьютерное
Размер
171,85 Kb
Список файлов
РГЗ №1 - Вариант 8 Подвариант 3
1 пункт.wmf
1 раздел.wmf
2 пункт.wmf
4 пункт.wmf
5 пункт.wmf
Маткад.xmcd
РГЗ ЦОС1 часть.docx
РГЗ ЦОС2 часть.docx
о-полюс.png
структурная схема.png
титульный.docx

Вам все понравилось? Получите кэшбэк - 40 рублей на Ваш счёт при покупке. Поставьте оценку и напишите положительный комментарий к купленному файлу. После Вы получите деньги на ваш счет.