Для студентов НГТУ по предмету Цифровая обработка сигналов (ЦОС)Расчетно-графическое задание №1Расчетно-графическое задание №1
4,96530029
2022-10-062022-10-06СтудИзба
ДЗ 1: Расчетно-графическое задание №1 вариант 3-8
Описание
Задание
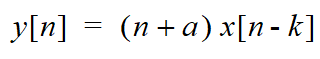
- 1. По заданному разностному уравнению цифровой цепи проверить ее физическую реализуемость (каузальность), стационарность, линейность и устойчивость.

b=1
c=4
k=2
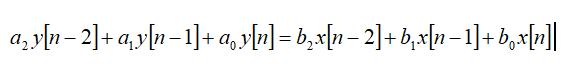
- 2. По разностному уравнению:

– определить импульсную характеристику устойчивой дискретной цепи (аналитически);
– построить график импульсной характеристики;
– рассчитать АЧХ и ФЧХ цепи, построить графики;
– построить нуль–полюсную диаграмму, обозначьте область сходимости z-преобразования ИХ.
Характеристики домашнего задания
Учебное заведение
Семестр
Номер задания
Вариант
Программы
Просмотров
2
Качество
Идеальное компьютерное
Размер
132,61 Kb
Список файлов
РГЗ №1 - Вариант 3 Подвариант 8.docx

Вам все понравилось? Получите кэшбэк - 40 рублей на Ваш счёт при покупке. Поставьте оценку и напишите положительный комментарий к купленному файлу. После Вы получите деньги на ваш счет.