Для студентов НГТУ по предмету Цифровая обработка сигналов (ЦОС)Расчетно-графическое задание №1Расчетно-графическое задание №1
4,96529787
2022-10-062022-10-06СтудИзба
ДЗ 1: Расчетно-графическое задание №1 вариант 6-2
Описание
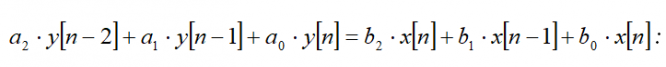
1. По заданным разностным уравнениям цифровых цепей:
проверьте их физическую реализуемость (каузальность), стационарность и устойчивостьТаблица 1
Вариант | Разностное уравнение |
6 | ![]() |
Подвариант | a | b | c | k |
2 | 3 | 2 | 4 | 1 |
- а) Проверим условие линейности цепи
- б) Проверим условие стационарности цепи
- в) Проверим условие каузальности цепи
- г) Проверим условие устойчивости цепи
2. По разностному равнению: ![]()
а) составьте структурную схему цепи; б) определите ИХ устойчивой дискретной цепи (аналитически);
в) постройте график ИХ;
г) рассчитайте АЧХ и ФЧХ цепи, постройте графики;
д) постройте нуль-полюсную диаграмму, обозначьте область сходимости z-преобразования ИХ.
Таблица 3
Вариант | a2 | a1 | a0 |
6 | 3 | 4 | 2.5 |
Подвариант | b2 | b1 | b0 |
2 | 4 | 8 | 4 |
- а) Составим структурную схему цепи:
- б) Определим ИХ устойчивой дискретной цепи (аналитически):
- в) Построим график ИХ:
- г) Рассчитаем АЧХ и ФЧХ цепи и построим графики:
- д) Построим нуль-полюсную диаграмму и обозначим область сходимости z-преобразования ИХ:
Характеристики домашнего задания
Учебное заведение
Семестр
Номер задания
Вариант
Программы
Просмотров
4
Качество
Идеальное компьютерное
Размер
330,75 Kb
Список файлов
РГЗ №1 - Вариант 6 Подвариант 2.docx
РГЗ №1 - Вариант 8 Подвариант 3
1 пункт.wmf
1 раздел.wmf
2 пункт.wmf
4 пункт.wmf
5 пункт.wmf
Маткад.xmcd
РГЗ ЦОС1 часть.docx
РГЗ ЦОС2 часть.docx
о-полюс.png
структурная схема.png
титульный.docx

Вам все понравилось? Получите кэшбэк - 40 рублей на Ваш счёт при покупке. Поставьте оценку и напишите положительный комментарий к купленному файлу. После Вы получите деньги на ваш счет.