Для студентов НГТУ по предмету Цифровая обработка сигналов (ЦОС)Расчетно-графическое задание №1Расчетно-графическое задание №1
4,96529766
2022-10-062022-10-06СтудИзба
ДЗ 1: Расчетно-графическое задание №1 вариант 1-4
Описание
Задание
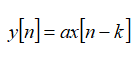
1. По заданному разностному уравнению цифровой цепи проверить ее физическую реализуемость (каузальность), стационарность, линейность и устойчивость.
b=1
c=2
k=3
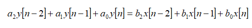
2. По разностному уравнению:

– определить импульсную характеристику устойчивой дискретной цепи (аналитически);
– построить график импульсной характеристики;
– рассчитать АЧХ и ФЧХ цепи, построить графики;
– построить нуль–полюсную диаграмму, обозначьте область сходимости z-преобразования ИХ.

Характеристики домашнего задания
Учебное заведение
Семестр
Номер задания
Вариант
Программы
Просмотров
6
Качество
Идеальное компьютерное
Размер
54,62 Kb
Список файлов
РГЗ №1 - Вариант 1 Подвариант 4.docx

Вам все понравилось? Получите кэшбэк - 40 рублей на Ваш счёт при покупке. Поставьте оценку и напишите положительный комментарий к купленному файлу. После Вы получите деньги на ваш счет.