Главная » Учебные материалы » Численные методы » Лабораторные работы » ТУСУР » Несколько классов/семестров » Решение уравнений с одной переменной и решение задач линейной алгебры
Для студентов ТУСУР по предмету Численные методыРешение уравнений с одной переменной и решение задач линейной алгебрыРешение уравнений с одной переменной и решение задач линейной алгебры
5,0053959
2026-01-14СтудИзба

Лабораторная работа: Решение уравнений с одной переменной и решение задач линейной алгебры

Новинка

Описание

Оглавление

1 Приближение функций 3
1.1 Задание 3
1.2 Краткая теория по выбранному методу 3
1.3 Результат выполнения задания 4
2 Численное дифференцирование 5
2.1 Задание 5
2.2 Краткая теория по выбранному методу 5
2.3 Результат выполнения задания 6
3 Численное интегрирование 7
3.1 Задание 7
3.2 Краткая теория по выбранному методу 7
3.3 Результат выполнения задания 8
Заключение 9
Список использованных источников 10
Приложение А (обязательное) Коды программ 10


Постановка задачи
Написать программу интерполяции таблично заданной функции с помощью полиномов Ньютона или Лагранжа.
Входные данные
  • Исходная сетка узлов интерполяции;
  • Новая сетка узлов, на которой необходимо вычислить значения функции;
  • Порядок полинома.
Выходные данные
  • Новая сетка;
  • Значения функции на новой сетке.

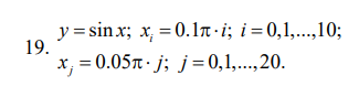
Исходная сетка узлов интерполяции


Выбранный метод:
Полином Лагранжа.

Постановка задачи
Написать программу вычисления первой и второй производной табличной функции с помощью полинома Ньютона или Лагранжа.

Входные данные
  • Исходная сетка узлов функции;
  • Значения дифференцируемой функции;
  • Новая сетка узлов, на которой необходимо вычислить значения производных функции;
  • Порядок полинома.

Выходные данные
  • Новая сетка
  • Значения производных функции на новой сетке
  • Погрешность дифференцирования
Постановка задачи
Написать программу вычисления интеграла по одной из квадратурных формул: трапеции, Симпсона или прямоугольников с автоматическим выбором шага интегрирования.
Написать программу вычисления интеграла по формуле Гаусса с автоматическим выбором шага интегрирования.

Входные данные
  • Границы интервала
  • Аналитическая функция
  • Требуемая относительная точность

Выходные данные
  • Значение интеграла
  • Количество узлов

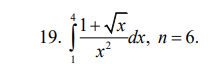
Определенный интеграл

Выбранный метод:
Метод трапеций и метод Гаусса.

Характеристики лабораторной работы

Учебное заведение
Просмотров
0
Качество
Идеальное компьютерное
Размер
8,07 Mb

Список файлов

LAb2
LAb2
FileContentIndex
0b582141-b742-432d-a1ee-d23415cfc8c3.vsidx
7c38b407-3122-4640-a2ca-b5dabce7c0cb.vsidx
bc619dec-4e69-456a-a63b-6fd294543c87.vsidx
v17
ipch
AutoPCH
5e1032ada98eccf9
LAB2.ipch
300ac6ff40644be8
P_3.ipch
450f789ae28532fb
LAB2.ipch
.suo
DocumentLayout.backup.json
DocumentLayout.json
LAb2
x64
Debug
LAb2
CL.command.1.tlog
CL.read.1.tlog
CL.write.1.tlog
Cl.items.tlog
LAb2.lastbuildstate
link.command.1.tlog
Картинка-подпись
Если нужен другой вариант работы или отдельная задача из любой работы, пишите в комментарии

Комментарии

Нет комментариев
Стань первым, кто что-нибудь напишет!
Поделитесь ссылкой:
Цена: 299 руб.
Расширенная гарантия +3 недели гарантии, +10% цены
Рейтинг автора
5 из 5
Поделитесь ссылкой:
Сопутствующие материалы

Подобрали для Вас услуги

-30%
-50%
-30%
Вы можете использовать лабораторную работу для примера, а также можете ссылаться на неё в своей работе. Авторство принадлежит автору работы, поэтому запрещено копировать текст из этой работы для любой публикации, в том числе в свою лабораторную работу в учебном заведении, без правильно оформленной ссылки. Читайте как правильно публиковать ссылки в своей работе.
Свежие статьи
Популярно сейчас
Зачем заказывать выполнение своего задания, если оно уже было выполнено много много раз? Его можно просто купить или даже скачать бесплатно на СтудИзбе. Найдите нужный учебный материал у нас!
Ответы на популярные вопросы
Да! Наши авторы собирают и выкладывают те работы, которые сдаются в Вашем учебном заведении ежегодно и уже проверены преподавателями.
Да! У нас любой человек может выложить любую учебную работу и зарабатывать на её продажах! Но каждый учебный материал публикуется только после тщательной проверки администрацией.
Вернём деньги! А если быть более точными, то автору даётся немного времени на исправление, а если не исправит или выйдет время, то вернём деньги в полном объёме!
Да! На равне с готовыми студенческими работами у нас продаются услуги. Цены на услуги видны сразу, то есть Вам нужно только указать параметры и сразу можно оплачивать.
Отзывы студентов
Ставлю 10/10
Все нравится, очень удобный сайт, помогает в учебе. Кроме этого, можно заработать самому, выставляя готовые учебные материалы на продажу здесь. Рейтинги и отзывы на преподавателей очень помогают сориентироваться в начале нового семестра. Спасибо за такую функцию. Ставлю максимальную оценку.
Лучшая платформа для успешной сдачи сессии
Познакомился со СтудИзбой благодаря своему другу, очень нравится интерфейс, количество доступных файлов, цена, в общем, все прекрасно. Даже сам продаю какие-то свои работы.
Студизба ван лав ❤
Очень офигенный сайт для студентов. Много полезных учебных материалов. Пользуюсь студизбой с октября 2021 года. Серьёзных нареканий нет. Хотелось бы, что бы ввели подписочную модель и сделали материалы дешевле 300 рублей в рамках подписки бесплатными.
Отличный сайт
Лично меня всё устраивает - и покупка, и продажа; и цены, и возможность предпросмотра куска файла, и обилие бесплатных файлов (в подборках по авторам, читай, ВУЗам и факультетам). Есть определённые баги, но всё решаемо, да и администраторы реагируют в течение суток.
Маленький отзыв о большом помощнике!
Студизба спасает в те моменты, когда сроки горят, а работ накопилось достаточно. Довольно удобный сайт с простой навигацией и огромным количеством материалов.
Студ. Изба как крупнейший сборник работ для студентов
Тут дофига бывает всего полезного. Печально, что бывают предметы по которым даже одного бесплатного решения нет, но это скорее вопрос к студентам. В остальном всё здорово.
Спасательный островок
Если уже не успеваешь разобраться или застрял на каком-то задание поможет тебе быстро и недорого решить твою проблему.
Всё и так отлично
Всё очень удобно. Особенно круто, что есть система бонусов и можно выводить остатки денег. Очень много качественных бесплатных файлов.
Отзыв о системе "Студизба"
Отличная платформа для распространения работ, востребованных студентами. Хорошо налаженная и качественная работа сайта, огромная база заданий и аудитория.
Отличный помощник
Отличный сайт с кучей полезных файлов, позволяющий найти много методичек / учебников / отзывов о вузах и преподователях.
Отлично помогает студентам в любой момент для решения трудных и незамедлительных задач
Хотелось бы больше конкретной информации о преподавателях. А так в принципе хороший сайт, всегда им пользуюсь и ни разу не было желания прекратить. Хороший сайт для помощи студентам, удобный и приятный интерфейс. Из недостатков можно выделить только отсутствия небольшого количества файлов.
Спасибо за шикарный сайт
Великолепный сайт на котором студент за не большие деньги может найти помощь с дз, проектами курсовыми, лабораторными, а также узнать отзывы на преподавателей и бесплатно скачать пособия.
Популярные преподаватели
Добавляйте материалы
и зарабатывайте!
Продажи идут автоматически
6961
Авторов
на СтудИзбе
264
Средний доход
с одного платного файла
Обучение Подробнее
{user_main_secret_data}