Для студентов ИГЭУ им. Ленина по предмету Численные методыЧисленное дифференцированиеЧисленное дифференцирование
5,00568
2025-03-252025-05-18СтудИзба
Лабораторная работа 1: Численное дифференцирование вариант 15
Описание
- Цель работы:
- Задание:
2. Построить графики функций

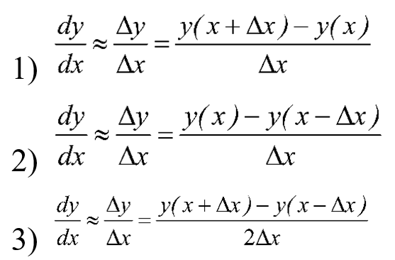
- Математическое описание:

- Содержание
Структограмма и текст программы....….....................................................4-7
Результаты расчетов и графики зависимостей y'(x0)=F(Δx)РРH........................8
Вывод.................................................................................................................9
Характеристики лабораторной работы
Предмет
Учебное заведение
Семестр
Номер задания
Вариант
Программы
Теги
Просмотров
6
Качество
Идеальное компьютерное
Размер
260,5 Kb
Преподаватели
Список файлов
ЧМ1 вариант 15.doc

🎓Помощь студентам Ивановских ВУЗов🎓 ❤️ Каждая приобретенная работа служит стимулом для добавления новых материалов и упрощает учебный процесс.