Для студентов ИГЭУ им. Ленина по предмету Численные методыЧисленное дифференцированиеЧисленное дифференцирование
5,00568
2025-03-252025-05-18СтудИзба
Лабораторная работа 1: Численное дифференцирование вариант 5
Описание
- Цель работы:
- Задание:
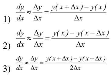
b = 3, в произвольной точке x=x0 аналитически и численно тремя методами для пяти значений приращения аргумента x=1; 0.2; 0.1; 0.01; 0.001. Результаты расчета вывести на экран и распечатать в виде таблицы
2. Построить графики функций

- Математическое описание:
- Содержание
Структограмма и текст программы....….....................................................4-6
Результаты расчетов и графики зависимостей y'(x0)=F(Δx)РРH........................7
Вывод.................................................................................................................8
Характеристики лабораторной работы
Предмет
Учебное заведение
Семестр
Номер задания
Вариант
Программы
Теги
Просмотров
6
Качество
Идеальное компьютерное
Размер
154,36 Kb
Преподаватели
Список файлов
ЧМ1 вариант5.docx

🎓Помощь студентам Ивановских ВУЗов🎓 ❤️ Каждая приобретенная работа служит стимулом для добавления новых материалов и упрощает учебный процесс.