Для студентов ИГЭУ им. Ленина по предмету Численные методыЧисленное дифференцированиеЧисленное дифференцирование
5,00570
2025-03-212025-05-18СтудИзба
Лабораторная работа 1: Численное дифференцирование вариант 3
Описание
- Цель работы:
- Задание:

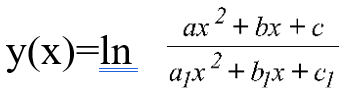
2. Построить графики функций

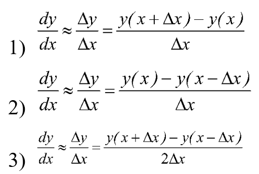
- Математическое описание:

- Содержание
Структограмма и текст программы....….....................................................4-6
Результаты расчетов и графики зависимостей y'(x0)=F(Δx)РРH........................7
Вывод.................................................................................................................8
Характеристики лабораторной работы
Предмет
Учебное заведение
Семестр
Номер задания
Вариант
Программы
Теги
Просмотров
8
Качество
Идеальное компьютерное
Размер
131,16 Kb
Преподаватели
Список файлов
лаба чм 1 вариант3.docx

🎓Помощь студентам Ивановских ВУЗов🎓 ❤️ Каждая приобретенная работа служит стимулом для добавления новых материалов и упрощает учебный процесс.