Для студентов СПбПУ Петра Великого по предмету Численные методыЧисленное решение интегралаЧисленное решение интеграла
5,0053100
2024-04-282024-04-28СтудИзба
Курсовая работа: Численное решение интеграла
Описание
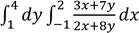
Найти значение интеграла:
Провести исследование точности получаемых результатов вычисления заданного интеграла методом Симпсона, трапеции и прямоугольника при фиксированном шаге (равномерная сетка) и при заданной точности.
Сравнить полученные результаты с аналитически рассчитанным значением.
Сделать выводы.

Сравнить полученные результаты с аналитически рассчитанным значением.
Сделать выводы.
Характеристики курсовой работы
Предмет
Учебное заведение
Просмотров
1
Качество
Идеальное компьютерное
Размер
83,02 Kb
Список файлов
Курсовая. Численное решение интеграла.docx