Для студентов НИУ «МЭИ» по предмету Численные методы в инженерииВариант 10 - ДЗ №4 "Численные методы решения задачи Коши"Вариант 10 - ДЗ №4 "Численные методы решения задачи Коши"
4,97514463
2023-04-272024-09-05СтудИзба
ДЗ 4: Вариант 10 - ДЗ №4 "Численные методы решения задачи Коши" вариант 10
-43%
Описание
Типовой расчет по численным методам №4, зачтено на максимальный балл
Условие:
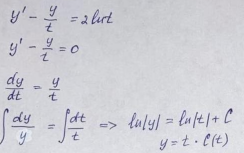
Пример решения:
Показать/скрыть дополнительное описание
Условие:


Численные методы в инженерии кафедра радиотехнических систем МЭИ 3 семестр.
Характеристики домашнего задания
Предмет
Учебное заведение
Семестр
Номер задания
Вариант
Просмотров
2
Размер
689,83 Kb
Список файлов
Вариант 10 ЧМ 4.pdf

Спасибо за покупку! Я буду очень рад, если поставишь справедливую оценку купленному файлу :3 Ищи больше работ в моём профиле, там много нужного тебе!