06 (998790)
Текст из файла
Тема 6. Информационное описание и моделирование систем
Главное отличие подхода к изучению любого объекта как системы состоит в том, что исследователь не ограничивается рассмотрением и описанием только вещественной и энергетической его сторон, но и (прежде всего) проводит исследование его информационных аспектов: целей, информационных потоков, управления, организации и т.д. Создание новых и совершенствование существующих объектов (систем) зависят от решения вопросов, позволяющих анализировать имеющуюся информацию, отсеивать ее избыточную часть, выделять основную, производить оценку и обеспечивать формирование альтернатив для принятия решений.
Любая более или менее сложная экономическая система в процессе своего существования потребляет и вырабатывает большой объем информации. Более того, сегодня можно однозначно утверждать, что объем информации, необходимый для нормального функционирования экономических объектов, и требования к скорости восприятия информации экономической системой неуклонно возрастает. Предприятия производят обмен информацией как внутри себя, так и во вне (в “горизонтальном” и “вертикальном” направлении). Ни для кого не секрет, что в рамках достаточно крупного промышленного предприятия годовой оборот документированных данных может достигать двухмиллионного рубежа и содержать совершенно фантастическую цифру показателей – более ста миллионов единиц. Однако сразу отметим, что количество данных в отчетах не адекватно содержащейся в них информации. Обычно под информацией понимают только те данные, которые способствуют решению задач, поставленных перед исследователем. Из литературных источников известно, что только 10-30 % данных, циркулирующих в экономических системах, непосредственно используются при решении задач. Остальные данные не используются вообще.
Рыночные условия хозяйствования и современные компьютерные технологии потребовали от экономических систем новых форм организации информационных потоков. В качестве примера можно привести систему маркетинговой информации, которая сама по себе представляет постоянно меняющуюся сложную систему из четырех подсистем: системы внутренней отчетности, системы исследований, системы сбора текущей внешней информации, системы анализа информации.
Информационное описание должно давать представление об организации и управлении системой.
Термин информация имеет несколько значений:
1. совокупность каких либо сведений, знаний о чем-либо;
2. сведения, являющиеся объектом хранения, передачи и переработки;
3. совокупность количественных данных, выражаемых при помощи цифр или кривых, графиков и используемых при сборе и обработке каких-либо сведений;
4. сведения, сигналы об окружающем мире, которые воспринимают организмы в процессе жизнедеятельности;
5. в биологии – совокупность химически закодированных сигналов, передающихся от одного живого организма другому (от родителей - потомкам) или от одних клеток, тканей, органов другим в процессе развития особи;
6. в математике, кибернетике – количественная мера устранения энтропии (неопределенности), мера организации системы;
7. в философии – свойство материальных объектов и процессов сохранять и порождать определенное состояние, которое в различных вещественно-энергетических формах может быть передано от одного объекта другому; степень, мера организованности какого-либо объекта (системы).
Определения 1-4 трактуют информацию как сведения, данные, сообщения, сигналы, подлежащие передаче, приему, обработке, хранению и отражающие реальную действительность или интеллектуальную деятельность. В этом смысле информация – отображение в некоторое пространство символов. В дальнейшем будем называть ее отображающей информацией.
Во всех определениях, кроме последнего, информация рассматривается как объединяющая категория, которую можно определить через более простые категории. В последнем определении информация – изначальная, неопределяемая категория, которую нужно изучать через ее свойства, то есть информация материальна (как и вещество и энергия), проявляется в тенденции (свойстве) материи к организации (как энергия к способности к взаимодействию), выражает способность организованной материи к предопределению своих состояний (связывающей пространственные свойства с временными).
То, что это действительно так, вытекает из следующих, наблюдаемых в повседневной практике, свойств систем. При неизменной морфологии их поведение и функционирование в значительной степени определяются информацией, доставляемой рецепторными подсистемами. Аналогично энергия определяется как общая мера различных процессов и видов взаимодействия.
Физически информация определяет предсказуемость свойств и поведения объекта во времени. Чем выше уровень организации (больше информации), тем менее подвержен объект действию среды.
Возможно, что формы организации взаимно преобразуются в строгих количественных соотношениях, выражаемых при помощи информации. Доказать это можно только экспериментально (как и для количественных форм движения, т.е. энергетических эквивалентов). Количество и ценность информации – взаимодополняющие категории. Можно говорить о количестве ценной информации применительно к заданной цели подобно тому, как мы говорим о количестве ценного вида энергии или вещества.
Формальное определение первичных понятий всегда сложно. Определяя энергию как способность производить работу, мы с самого начала допускаем ошибку: энергия – не способность, а нечто, обладающее способностью. Не смотря на это, мы пользуемся этим определением, понимая и признавая его неполноценность. Энтропия есть мера беспорядка, негэнтропия – мера порядка, организованности. Но определения организованности в физике нет, существует интуитивное восприятие этого понятия. Организованность есть первичная категория.
Организованность, упорядоченность системы – способность предопределять свою перспективу, свое будущее. Разумеется, перспектива системы зависит и от среды. Но ведь и способность системы совершать работу зависит от среды, что не влияет на определение энергии.
Чем беспорядоченнее система, тем больше зависит ее перспектива от случайных факторов (внутренних и внешних). Повышение упорядоченности означает увеличение зависимости между факторами, определяющими поведение (состояние) системы. Применительно к внешним случайным факторам это означает наличие в системе возможностей установления соответствия между свойствами среды и функциями системы. Установление соответствия требует отображения среды в системе.
Таким образом, меру организованности можно понимать как потенциальную меру предсказуемости будущего системы, количественную характеристику возможности предвидения состояния (поведения) системы. Информация об организации системы – это количественная характеристика возможности предвидения ее состояния (поведения) на соответствующем уровне детализации системы. Информация о среде - количественная характеристика возможности предвидения воздействия среды. Информация об организации системы составляет часть ее внутренней информации.
В теории информации рассматривают синтаксический, семантический и прагматический аспекты информации.
На синтаксическом уровне рассматриваются внутренние свойства текста (структура), т.е. отношение между знаками (алфавита), отражающие структуру данной знаковой системы.
На семантическом уровне анализируются отношения между знаками и обозначаемыми ими предметами, действиями, качествами, т.е. смысловое содержанием текста.
На прагматическом уровне рассматриваются отношения между текстом и тем, кто его использует, т.е. ценность информации для потребителя. При этом информацию оценивают как и любой продукт по тем потребительским свойствам, которыми она обладает (например, содержательностью информации, удобством для восприятия, своевременностью). Кроме того, ценность информации характеризуется ее актуальностью, надежностью, достоверностью.
Часто ценность информации выражается через приращение вероятности достижения цели: если до получения информации вероятность достижения цели была p0, а после получения информации – p1, то величина ценности информации определяется по формуле Харкевича:
I0=log2(p1/p0).
Очевидно, что она может быть и отрицательной, если p1<p0
Информация со временем снижает свою ценность. Возможны 2 причины:
-
обесценение информации в конечном источнике по мере ее использования;
-
старение информации, из-за задержки при ее передаче и переработке.
При информационном подходе исследуемая система в наиболее абстрактном виде может быть представлена иерархической структурой, на нижнем уровне которой находятся участки технологического процесса, а на более высоких – узлы управления, связанные с объектами управления и между собой каналами связи.
Первый информационный уровень – это уровень непосредственного управления технологическими операциями, который осуществляют рабочие и автоматы (роботы). На следующих образуются производственно- технологические подразделения (участки, цехи) и предприятия. В зависимости от поставленных задач исследователь сам определяет количество уровней в системе, существо каждого элемента структуры системы и их количество.
Информация, циркулирующая в системе может проявляться в 3-х формах:
осведомляющая – движущаяся преимущественно от объектов управления к соответствующим узлам управления (как правило, осведомляющая информация передается по каналам обратной связи);
управляющая – движется в обратном направлении и содержит указания, директивы и т.п.;
преобразующая – определяет закономерности поведения узла управления и алгоритмы функционирования его отдельных элементов.
Узлы управления преобразуют осведомляющую информацию в управляющую с помощью преобразующей информации, заключенной в структуре и алгоритмах узла управления.
По мере движения вверх по иерархии информация постепенно обобщается, преобразуется в различных узлах управления и поступает в находящийся на вершине иерархии главный узел управления.
Этот узел, используя полученную осведомляющую информацию, генерирует управляющую информацию, которая двигаясь вниз детализируется в нижележащих узлах. Чем меньше требуется информации от вышестоящих узлов для формирования информации управления в некотором i-ом узле, тем более автономен этот узел.
Для достижения цели и подцелей управления (реализации дерева целей) весьма важно, чтобы в соответствующие узлы управления стекалась только ценная информация и чтобы ее было достаточно. Поэтому в процессе управления сложными системами на первый план выступают смысловые и ценностные характеристики информации.
Осведомляющая и управляющая информация может генерироваться и потребляться как внутри системы управления, так и вне ее, образуя информационные потоки, связывающие систему управления с внешней средой.
Фактически информационные потоки системы являются отображением функциональной и структурной организации изучаемого объекта в ракурсе механизма принятия решений внутри системы.
К параметрам информационных потоков относят:
-
общее время реагирования;
-
интенсивность;
-
избыточность;
-
дублирование;
-
нестабильность;
-
погрешность;
-
формы представления.
Для количественной оценки информационных потоков в экономических системах известны следующие характеристики:
1) коэффициент трансформации
,
где x – число входных показателей, а y - число выходных показателей, имеющих размерность потока за определенное время- час, день, месяц, год. В вертикальных связях данный коэффициент получил название коэффициента сжатия.
2) коэффициент комплексности
где ki - число участий входного показателя i в разработке других показателей.
3) коэффициент стабильности -
-
/x
где
- число оставшихся неизменными за определенный период показателей (показывает степень устойчивости информационных массивов).
При информационном описании систем принято также использовать понятие количество разнообразия. При одном единственном состоянии системы разнообразие отсутствует, оно появляется, как минимум, при наличии двух возможных состояний изучаемой системы. В общем случае объект наблюдения А может с некоторой вероятностью находиться в одном из k различных состояний.
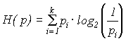
Количество разнообразия или неопределенность, характеризующую объект, принято оценивать средневзвешенной величиной логарифмов вероятностей различных состояний (исходов). Меру неопределенности, H(p), или энтропию (по аналогии с известным понятием термодинамики) ввел К. Шеннон:
где
– вероятность i-того состояния системы.
Информация противоположна энтропии, являющейся мерой неопределенности состояний изучаемого объекта. Информация ограничивает разнообразие, снижает энтропию, устраняет неопределенность частично или полностью. По Шеннону, показатель информации о событии равен уменьшению энтропии в системе, вызванной неопределенностью наступления события. Однако не следует забывать, что теория информации разрабатывалась Шенноном для решения задач передачи информации по каналам связи в технических системах, а следовательно, ее применение при информационном описании сложных экономических систем весьма проблематично и в каждом отдельном случае требует отдельного доказательства.
Характеристики
Тип файла документ
Документы такого типа открываются такими программами, как Microsoft Office Word на компьютерах Windows, Apple Pages на компьютерах Mac, Open Office - бесплатная альтернатива на различных платформах, в том числе Linux. Наиболее простым и современным решением будут Google документы, так как открываются онлайн без скачивания прямо в браузере на любой платформе. Существуют российские качественные аналоги, например от Яндекса.
Будьте внимательны на мобильных устройствах, так как там используются упрощённый функционал даже в официальном приложении от Microsoft, поэтому для просмотра скачивайте PDF-версию. А если нужно редактировать файл, то используйте оригинальный файл.
Файлы такого типа обычно разбиты на страницы, а текст может быть форматированным (жирный, курсив, выбор шрифта, таблицы и т.п.), а также в него можно добавлять изображения. Формат идеально подходит для рефератов, докладов и РПЗ курсовых проектов, которые необходимо распечатать. Кстати перед печатью также сохраняйте файл в PDF, так как принтер может начудить со шрифтами.
















