Шпоры Alex.BiT (990620), страница 3
Текст из файла (страница 3)
Характеристикой данного эффекта служит коэффициент Эттингсгаузена AE:
.
Эффект Эттингсгаузена может быть только адиабатическим.
Поскольку поле Холла зависит от скорости движения носителей зарядов, то в полупроводниках эффект сильнее на несколько порядков, чем в металлах.
Значительной величины достигает эффект, когда вместо поля Холла используется сила Лоренца в переменном магнитном поле (сведений очень мало).
Эффе́кт Хо́лла — явление возникновения поперечной разности потенциалов (называемой также Холловским напряжением) при помещении проводника с постоянным током в магнитное поле. Открыт Э. Холлом в 1879 году в тонких пластинках золота.
В простейшем рассмотрении эффект Холла выглядит следующим образом. Пусть через металлический брус в слабом магнитном поле B течет электрический ток под действием напряженности E. Магнитное поле будет отклонять носители заряда (для определенности электроны) от их движения вдоль или против электрического поля к одной из граней бруса. При этом критерием малости будет служить условие, что при этом электрон не начнет двигаться по спирали.
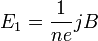
Таким образом, сила Лоренца приведет к накоплению отрицательного заряда возле одной грани бруска и положительного возле противоположной. Накопление заряда будет продолжаться до тех пор, пока возникшее электрическое поле зарядов E1 не скомпенсирует магнитную составляющую силы Лоренца:
Скорость электронов v можно выразить через плотность тока:
, где n — концентрация носителей заряда. Тогда
.
Коэффициент
пропорциональности между E1 и jB называется коэффициентом (константой) Холла. В таком приближении знак постоянной Холла зависит от знака носителей заряда, что позволяет определять их тип для большого числа металлов. Для некоторых металлов (в сильных полях), таких как алюминий, цинк, железо, кобальт, наблюдается положительный знак RH, что объясняется в полуклассической и квантовой теориях твердого тела.
Аномальный эффект Холла
Случай появления напряжения (электрического поля) в образце перпендикулярного направлению пропускаемого через образец тока, наблюдающегося в отсутствие приложенного постоянного магнитного поля, то есть явление полностью аналогичное эффекту Холла, но наблюдающееся без внешнего постоянного магнитного поля — называется Аномальный эффект Холла.
Необходимым условием для наблюдения аномального эффекта Холла является нарушение инвариантности по отношению к обращению времени в системе. Например, аномальный эффект Холла может наблюдаться в образцах с намагниченностью.
Датчики на основе эффекта Холла получили очень большое распространение в вентильных двигателях (сервомоторах). Они закрепляются непосредственно на статоре двигателя и выступают в роли ДПР (датчика положения ротора). ДПР реализует обратную связь по положению ротора, выполняет ту же функцию, что и коллектор в ДПТ.
Квантовый эффект Холла
В сильных магнитных полях в плоском проводнике (то есть в квази-двумерном электронном газе) в системе начинают сказываться квантовые эффекты, что приводит к квантовому эффекту Холла: квантованию холловского сопротивления. В ещё более сильных магнитных полях проявляется дробный квантовый эффект Холла, который связан с кардинальной перестройкой внутренней структуры двумерной электронной жидкости.
Магнитосопротивление
Холл проводил опыты в надежде обнаружить возрастание сопротивления проводника в магнитном поле, но в слабых полях не зарегистрировал его. Также оно не следует из теории металлов Друде, расчеты по которой приводились выше. Однако при более строгих расчетах и в сильных полях магнитосопротивление проявляется достаточно хорошо.
Гальваномагнитные эффекты - совокупность эффектов, связанных с воздействием магнитного поля на электрические свойства проводников (металлов и полупроводников), по которым течёт ток. Наиболее существенны гальваномагнитные эффекты в магнитном поле, которое направленно перпендикулярно току.
К гальваномагнитным эффектам относятся:
-
Эффект Холла
-
Магнетосопротивление
-
Эффект Эттингсгаузена
-
Эффект Нернста-Эттингсгаузена
-
Гигантское магнитное сопротивление
-
Эффект Риги-Ледюка















