Описание лабы 46 (989023)
Текст из файла
-3-
Лабораторная работа № 46
МОСТОВОЙ МЕТОД ИЗМЕРЕНИЯ ПАРАМЕТРОВ ЭЛЕКТРИЧЕСКОЙ ЦЕПИ НА ПЕРЕМЕННОМ ТОКЕ
1. Цель работы
Цель работы - знакомство с мостовым методом измерения на переменном токе с использованием серийного измерительного моста и проведение измерений параметров различных элементов электрической цепи.
2. Домашнее задание
-
Изучить мостовой метод [1—6] и его особенности при работе на пе-
ре-менном токе. Изобразить 2—3 электрические схемы частотно-
независимых мостов и записать соотношения между параметрами элемен
тов моста при равновесии его, если измеряются параметры реальных кату
шек индуктивности или конденсаторов. -
В соответствии с заданием подготовить таблицы для записи резуль
татов измерений и погрешностей, а также для спецификации средств изме
рений. Записать необходимые расчётные соотношения и формулы.
3. Рабочее задание
-
Ознакомиться с оборудованием стенда. Изучить устройство изме
рительного моста, его основные характеристики и правила пользования
мостом в разных режимах. -
Определить с помощью моста переменного тока значение индук
тивности и взаимоиндуктивности, а также активного сопротивления вихре-
токового преобразователя при наличии различных контролируемых объек
тов и без них. Изобразить полученные значения полного сопротивления
преобразователя на комплексной плоскости и рассчитать его добротность.
3.3. Произвести измерения комплексного сопротивления в каждой из
декад магазина сопротивлений (при указанном преподавателем числе
включённых резисторов в декаде) и рассчитать его активную и реактивную
составляющие (или параметры элементов схемы замещения).
3.4. Измерить активную и реактивную составляющие полного сопротив
ления декады, при изменении сопротивления от нуля до максимального.
Построить зависимость электрических параметров декады (R, L или С) от
числа включенных резисторов, найти погрешность и произвести статисти
ческую обработку результатов.
3.5. Измерить электрические параметры (R, L и С) самого короткого и
самого длинного из соединительного проводов, коаксиального кабеля, вхо
да вольтметров и входа осциллографа. Сопоставить их с параметрами ис-
-4-
следованных ранее объектов и оценить создаваемую ими погрешность.
-
Измерить ёмкости и тангенсы угла диэлектрических потерь (доб
ротности) для партии конденсаторов. Провести статистическую обработку
полученных значений: найти среднее значение ёмкости, обнаружить и уст
ранить конденсаторы с грубыми отклонениями ёмкости от номинальной,
рассчитать среднее квадратическое отклонение ёмкости в партии, постро
ить гистограмму, определить закон распределения и т.д. [1—4]. -
Записать результаты измерения по стандартной форме [1] для трёх
различных физических величин. -
Составить спецификацию использованных в работе средств изме
рений, обработать результаты, сделать выводы и оформить отчёт.
4. Особенности мостовых методов измерений на переменном токе
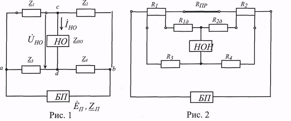
Измерительные мосты переменного тока выполняются с использованием тех же основных принципов, что и мосты постоянного тока [1—4]: че-тырёхплечие (одинарные) (рис.1), шестиплечие (двойные) (рис. 2) и другие.
Главной особенностью мостов переменного тока при этом является комплексный характер сопротивлений ветвей моста, определяемый их активной и реактивной составляющими сопротивлений. В мостах с электронными устройствами часто анализируют напряжение на нуль-органе:
Как и на постоянном токе мостовые устройства переменного тока могут использоваться в уравновешенном состоянии (нулевой метод) или в неуравновешенном (обычно близком к положению равновесия), когда реализуется дифференциальный метод измерений. На переменном токе существует также режим с частичным уравновешиванием по одной составляющей комплексного сопротивления, называемый квазиуравновешенным.
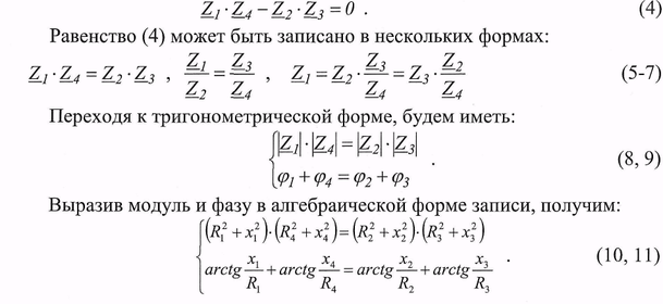
Чтобы мост находился в равновесии (1НО = О, йно = О, Рно = О), необходимо равенство нулю числителя дроби в выражении (3), т.е.:
При равновесии моста равенства (8) и (9) или (10) и (И) должны выполняться одновременно. Определение момента равновесия в зависимости от конкретных устройств и нуль-органа или условий измерений может производиться по току, напряжению или мощности, причём условия равновесия фактически совпадают (см. 1, 2).Наилучшие условия работы моста соответствуют равенству модулей сопротивлений, так как при этом достигается наибольшая чувствительность к изменению сопротивления, что позволяет снизить погрешность.
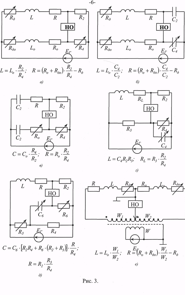
Равновесие мостов переменного тока может быть получено при различном сочетании реактивных составляющих сопротивлений. Целесообразное построение основных вариантов электрических схем дано на рис. 3, где приведены также условия равновесия. Условия равновесия моста переменного тока сложнее, причём при изменении одного из элементов в ветви моста (активного или реактивного) достигается минимум выходного сигнала (тока, напряжения или мощности), а не нуль, как в мостах постоянного тока. Поэтому необходимо сделать несколько приближений к положению
-7-
равновесия, минимизируя показание нуль-органа путём регулировки попеременно активного и реактивного сопротивлений ветви моста. Количество таких регулировок характеризует сходимость моста. Для её улучшения используют разные способы, в том числе шестиплечие мосты (рис. Зд).
Если положение равновесия не зависит от частоты питания, его называют частотно-независимым (рис. За-Зв). При использовании таких мостов снижается погрешность из-за наличия высших гармонических составляющих в блоке питания.
Мост по схеме рис. Зе имеет общую точку ("землю") у источника питания и выходной диагонали с экранированием этих цепей друг от друга.
Основные расчёты для мостов переменного тока производятся так же, как и для постоянного, но в виде комплексных чисел с переходом в необходимых случаях к модулю, фазе или к соответствующим составляющим.
5. Методические указания
-
В работе используется автоматический самоуравновешивающийся
мост переменного тока. При измерениях надо выбрать режим работы и
включить по четырёхзажимной схеме исследуемый объект. -
Взаимоиндуктивность определяется путём измерения суммарной
индуктивности двух катушек при согласном и встречном их включении. -
Комплексное сопротивление резисторов декады, характеризуемое
их номинальным значением и числом включённых элементов (номером),
зависит от их активного сопротивления и от влияния паразитных парамет
ров: индуктивности проводов и ёмкостей между элементами конструкции. -
Получаемая зависимость (п. 3.4) должна быть линейной от числа
включённых резисторов, что надо учесть при обработке результатов. -
Электрические параметры испытуемых объектов являются паразит
ными по их роли в процессе любых измерений, когда они используются.
Поэтому их влияние должно учитываться как появляющаяся погрешность,
например как погрешность взаимодействия. -
Измерения для партии конденсаторов являются фактически анало
гом входного или выходного контроля на производстве. Обработка полу
ченных результатов измерений осуществляется по правилам математичес
кой статистики и должна содержать: математическое ожидание, среднее
квадратическое отклонение, гистограмму, позволяющую определить бли
зость закона распределения к какому-то стандартному, и т.д. -
Запись результата измерения физической величины должна содер
жать: наиболее вероятный результат измерения в единицах международ
ной системы, погрешность измерения и вероятность полученного резуль
тата, желательно с указанием закона распределения. Погрешность округ
ляется до 1 или 2 значащих цифр, а результат — до цифр в тех же разрядах. -
Спецификация оборудования, использованного при выполнении лабораторной работы, состоит из наименования и типа прибора, года выпус-
-8-
ка и заводского номера, нормируемых метрологических характеристик и других сведений, требуемых для повторных или уточняющих экспериментах, и особенностей аппаратуры (примечания).
Контрольные вопросы
-
Поясните особенности, преимущества и недостатки двух- и четы-
рёхзажимных резисторов. -
Какие устройства можно использовать в качестве нуль-органа?
-
Как минимизировать погрешность измерения мостовым методом?
-
Какие особенности надо учитывать при измерении малых или
больших значений сопротивлений, при малых или больших частотах? -
Какие элементы мостовой цепи ограничивают чувствительность к
изменению (приращению) измеряемого сопротивления? -
Рассчитайте значение измеряемых параметров ветви моста и по
грешность при заданных значениях погрешности изготовления и темпе
ратурных коэффициентов элементов других ветвей. -
Как производятся измерения параметров при большой длине соеди
нительных проводов между исследуемым элементом и мостом?
8-. Какой вид имеет зависимость показаний средства измерения в измерительной диагонали моста от значения сопротивления ветви?
9. Запишите выражения для составляющих погрешностей для уравновешенного и неуравновешенного мостов.
БИБЛИОГРАФИЧЕСКИЙ СПИСОК
1. Останин Ю.Я. Методы и средства измерений в системах технической диагности
ки: Учебн. пособ. по курсу "Метрология и измерения в технической диагностике". -
М.: Издательство МЭИ, 2001. 32 с.
-
Атамалян Э.Г. Приборы и методы измерения электрических величин: Уч. пособие.
2-е изд. - М.: Высш. шк., 1989. - 384 с. -
Атабеков А.И. Теоретические основы электротехники. -М.: Энергоатомиздат,
1985. - 193 с. -
Добренко А.М., Останин Ю.Я., Соколов В.Б. Мостовой метод измерений на по
стоянном токе. Лабораторная работа №45. Методическое пособие по курсу "Метро
логия и измерения в технической диагностике" Под ред. Ю.Я. Останина.- М.: Изда
тельство МЭИ, 2001. 8 с. -
Метрология и электроизмерительная техника. В.И.Диденко и др. / Под ред.
В.И.Малиновского. М.: Издательство МЭИ, 1991. - 80 с.
Содержание
-
Цель работы 3
-
Домашнее задание 3
-
Рабочее задание 3
-
Особенности мостовых методов измерений на переменном токе .... 4
-
Методические указания 7
Контрольные вопросы 8
БИБЛИОГРАФИЧЕСКИЙ СПИСОК... 9
Характеристики
Тип файла документ
Документы такого типа открываются такими программами, как Microsoft Office Word на компьютерах Windows, Apple Pages на компьютерах Mac, Open Office - бесплатная альтернатива на различных платформах, в том числе Linux. Наиболее простым и современным решением будут Google документы, так как открываются онлайн без скачивания прямо в браузере на любой платформе. Существуют российские качественные аналоги, например от Яндекса.
Будьте внимательны на мобильных устройствах, так как там используются упрощённый функционал даже в официальном приложении от Microsoft, поэтому для просмотра скачивайте PDF-версию. А если нужно редактировать файл, то используйте оригинальный файл.
Файлы такого типа обычно разбиты на страницы, а текст может быть форматированным (жирный, курсив, выбор шрифта, таблицы и т.п.), а также в него можно добавлять изображения. Формат идеально подходит для рефератов, докладов и РПЗ курсовых проектов, которые необходимо распечатать. Кстати перед печатью также сохраняйте файл в PDF, так как принтер может начудить со шрифтами.
















