Задачи 1-4,8,10 (987579)
Текст из файла
Задача №1
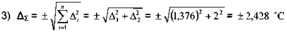
При измерении расхода получены значения измеряемой величины
G = {126,3; 124,2; 123,9; 121,8; 124,6; 125,1; 123,6; 127,4} т/ч. При доверительной вероятности 0,9 определить среднее значение температуры, среднюю квадратическую погрешность и границы доверительного интервала. При расчете использовать распределение Стьюдента.
Решение:
1. Математическое ожидание случайной величины
2. Среднеквадратичное отклонение
=0.881 [т/ч]
3. Доверительный интервал для измеряемой величины
При числе измерений n = 8 и доверительной вероятности β = 0,9 по таблице распределения Стьюдента tβ = 1,895. Отсюда границы ДИ составляют:
(125,362-1,895∙0,881; 125,362+1,895∙0,881) = (123,694; 127,031) (т/ч)
Задача №2
Рассчитать относительную среднеквадратическую погрешность определения объема куба, если длина его ребра l = 26,9 мм и погрешности ее измерения g = 0,32 мм.
Решение:
-
Объем куба: V = l3 = 26,93 = 1,947·104 мм3
-
Среднеквадратичная погрешность:
3. Относительная среднеквадратичная погрешность:
Задача №3
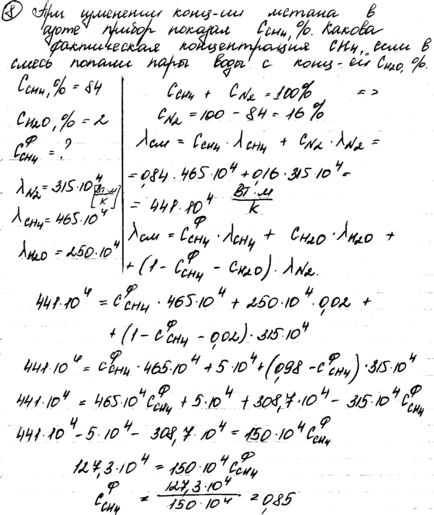
Определить абсолютную в °С и относительную погрешность измерения температуры t комплектом, состоящим из термопреобразователя сопротивления и автоматического моста класса точности к. Материал термопреобразователя, класс допуска, диапазон измерения комплекта D и другие величины приведены в таблице.
| Bap.N | Гр. | Кл. доп. | Погр. °С | к | D, °С | t, °С |
| 7 | 50П | С | 0,6+0,008t | 0,5 | 0-400 | 97 |
Задача №4
Определить значение температуры и погрешность ее измерения в °С и мВ, если термопара развивает E(t,to). Значение последней, температура свободных концов to,ran градуировки даны в таблице.
| Bap.N | Гр. | g, мВ | E(t,to), мВ | to,°C |
| 7 | ХК | 0,14+0,0002t | 18,44 | 23 |
По Гр. ХК по значению E(t,0) находим t для E(t,0) = 19,945 мВ t = 265 °С
3) g = 0,14+0,0002t = 0,14+0,0002-19,945 = 0,144 мВ
к = 0,14+0,0002t = 0,14+0,0002-265 = 0,193 °С
Характеристики
Тип файла документ
Документы такого типа открываются такими программами, как Microsoft Office Word на компьютерах Windows, Apple Pages на компьютерах Mac, Open Office - бесплатная альтернатива на различных платформах, в том числе Linux. Наиболее простым и современным решением будут Google документы, так как открываются онлайн без скачивания прямо в браузере на любой платформе. Существуют российские качественные аналоги, например от Яндекса.
Будьте внимательны на мобильных устройствах, так как там используются упрощённый функционал даже в официальном приложении от Microsoft, поэтому для просмотра скачивайте PDF-версию. А если нужно редактировать файл, то используйте оригинальный файл.
Файлы такого типа обычно разбиты на страницы, а текст может быть форматированным (жирный, курсив, выбор шрифта, таблицы и т.п.), а также в него можно добавлять изображения. Формат идеально подходит для рефератов, докладов и РПЗ курсовых проектов, которые необходимо распечатать. Кстати перед печатью также сохраняйте файл в PDF, так как принтер может начудить со шрифтами.















