UTS (951774), страница 2
Текст из файла (страница 2)
решение разностного уравнения:
передаточная функция
7. Z-преобразование и его свойства. Две формы Z-преобразование. Обратное Z-преобразование и его вычисление с помощью вычетов.
Z-преобразование используется для определение изображения по Z от оригинала по изображению Лапласа без использования D-преобразования.
Обычно: X(s) X[nT] X(q) X*(z)
По Z-преоб: X(s)X*(z).
Две формы Z-преоб:
Рассмотрим свойства D-преобразования, поскольку Z-преобразование это модификация D-преобразования Z{F(q)}=F*z(z,)=Res F(q) eq (z/(z-eq))|q=qv
Свойства Z-преобразования
-
Линейность.
D-преобразования линейной комбинации изображений по Лапласу Fv(q) (v=1,2,…..k) равно линейной комбинации соответствующих изображенийий дискретного преобразования по Лапласу:
-
Умножение изображения по Лапласу на экспоненциальную функцию.
-
Смещение изображения по Лапласу
Добавление к переменной q изображения по Лапласу комплексную приводит к изменению изображения дискретного преобразования Лапласа по формуле:
-
Умножение изображений
-
Дифференцирование изображений
Пример
Пример 2
8. Описание дискретных систем во временной области и определение передаточной функции дискретной системы с помощью Z–преобразования.
Для описания д.с. во временной области обозначим через S(t) функцию, которая описывает один импульс шириной Т, где <1 и Т – время квантования. При амплитудно-импульсной модуляции входного непрерывного сигнала f(t), амплитуда as последовательности импульсов: S(t), S(t-T), S(t-2T), S(t-3T) и т.д., изменяется в зависимости от значений входного сигнала f(t) в дискретные моменты времени: f(0), f(T), f(2T) и т.д.
Здесь зависимость линейная, т.е. считаем что амплитуда импульсов пропорциональна значениям сигнала f(t). as = kиf [nT], где kи – коэффициент пропорциональности.
Тогда функция y(t), на выходе импульсного элемента во временной области описывается как: y(t) = kиf [nT] S(t-nT).
Нахождение передаточной функции с помощью Z-преобразования
Z{x[n]} = z-nx[n] = X*(z)
Если имеется D-преобразование можно получить Z-преобразование путем постановки z = eq
D{x[n]} = e-qnx[n] = X*(q)
Пример 1. Найти передаточную функцию через Z-преобразование системы со ступенчатым воздействием. x[n] = 1,
Z{x[n]} = z-n = 1/(1-z-1) = z/(z-1). Где |z| > 1
Пример 2 Найти передаточную функцию через Z-преобразование системы со входным сигналом x[n] = e-n.
Z{x[n]} = z-n = 1/(1+(z e)-1) = z e/(z e+1) =z/(z- e-). Где |z| > e-
Пример 3 Найти передаточную функцию через Z-преобразование системы со входным сигналом x[n] = cos(n).
9. Применение Z-преобразования для определения передаточной функции дискретной системы. Особенности передаточной функции дискретной системы.
Передаточная функция импульсной системы - отношение изображения (D-преобразования) выходной величины к изображению входной при нулевых начальных условиях:
Уравнение этой системы во временной области при нулевых начальных условиях:
Определим передаточную функцию как D-преобразование:
Также
можно найти с помощью D – преобразования передаточной функции приведенной непрерывной части (ПНЧ):
Передаточная функция ПНЧ находится:
, где
.
Особенности передаточной функции дискретной системы:
В соответствии со свойствами D-преобразования передаточная функция периодична вдоль мнимой оси плоскости q с периодом 2π:
, r – любое число.
Из-за этого она полностью определяется своими значениями в полосе шириной 2π (основная полоса). Внутри основной полосы функция
является аналитической, кроме, может быть, конечного числа полюсов.
Преобразование
отображает основную полосу в плоскости q на всю расширенную плоскость z. Во внешности единичного круга
она является аналитической, а внутри имеет полюсы (т.к. левая полуполоса отображается внутрь круга, а правая во внешнюю часть круга).
Пример: Определить передаточную функцию разомкнутой импульсной системы:
Решение: Передаточная функция ПНЧ:
С учетом этих соотношений можно записать:
10. Передаточные функции замкнутой дискретной системы, по ошибке и по возмущению.
Д
ана замкнутая система. Её уравнения во временной области:
Применим к обеим частям неравенства D-преобразование. В результате:
, где
- передаточная функция разомкнутой импульсной системы. (1)
Применив D-преобразование к сигналу ошибки:
получим
(2). Тогда подставив (2)(1):
Передаточная функция замкнутой имп. системы:
Передаточная функция имп. системы по ошибке:
11. Определение процессов в дискретной системе с помощью обратного Z-преобразования. Особенности переходных процессов в дискретных системах
Определение процессов в импульсных системах с помощью дискретного преобразования Лапласа.
Если известны передаточная функция импульсной системы W*(z,ε) и изображение входного сигнала F*(q), то процесс на выходе системы может быть найден по формуле обратного D-преобразования( или обратного Z-преобразования):
Вычислить обратное D-преобразование можно с помощью вычетов:
где zν = eqν – полюсы функций, стоящих под знаком обратного преобразования.
Определение переходной функции импульсной системы:
Она определяется по формуле:
Для вычисления обратного Z-преобразования используют вычеты:
Где вычеты берутся в точке z0 = 1 и в полюсах zν передаточной ф-ии W*(z,ε).
12. Процессы в дискретной системе при гармонических воздействиях. Частотные характеристики дискретной системы и их основные особенности
Определение реакции импульсной системы на гармоническое воздействие
Применим D-преобразование для того, чтобы определить реакцию импульсной системы с передаточной ф-ей W*(z,ε) на гармоническое воздействие f[n] = A0cos(ω0n+ψ). Для этого целесообразно вначале найти реакцию системы на воздействие
[n] = A0 exp[ j(
0n+ψ)] , а затем рассмотреть вещественную часть этой реакции поскольку из равенства
следует
Изображение воздействия
[n] равно
Отсюда получаем:
Здесь вычеты берутся в полюсах zν передаточной ф-ии W*(z,ε) и в точке z0 = exp(jω0)
Частотные характеристики импульсных систем
Функция W*(j
, ε), получающаяся из функции W*(q, ε) при q = j
, называется амплитудно-фазовой частотной характеристикой. Функция | W*(j
, ε)| = A*(
, ε) называется амплитудно-частотной характеристикой, а функция arg W*(j
, ε) = φ*(
, ε) фазо-частотной характеристикой системы.
Амплитудно-частотная характеристика (АЧХ) определяет изменение амплитуды гармонического воздействия при прохождении через импульсную систему. Фазо-частотная характеристика (ФЧХ) определяет сдвиг по фазе приложенного гармонического воздействия. Частотные характеристики позволяют найти установившуюся реакцию на гармоническое воздействие.
13. Частотные характеристики импульсных систем
Функция W*(j
,
), получающаяся из передаточной функции W*(q, е) при q = j
, 0<
<1, называется амплитудно-фазовой частотной характеристикой импульсной системы. Функция |W*(j
,
)| = A*(
, е) называется амплитудно-частотной характеристикой, а функция argW*( j
,
) =
*(
, е) — фазо-частотной характеристики импульсной системы.
Физический смысл частотных характеристик ясен из формулы (1.60).
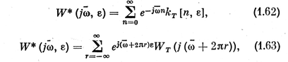
Амплитудно-частотная характеристика (АЧХ) определяет изменение амплитуды гармонического воздействия при прохождении через импульсную систему; фазо-частотная характеристика (ФЧХ) определяет сдвиг по фазе приложенного гармонического воздействия. Таким образом, частотные характеристики дискретной системы сохраняют тот же смысл, что и частотные характеристики непрерывной системы. Они позволяют найти установившуюся реакцию на гармоническое воздействие. Амплитудно-фазовая частотная характеристика (АФЧХ) может быть определена по следующим формулам:
Логарифмические частотные характеристики импульсных систем
Амплитудно-фазовая частотная характеристика получается в результате замены переменной w = j
* в выражении для передаточной функции, т. е. представляет собой образ мнимой оси плоскости комплексной переменной w:
где
* - псевдочастота. Связь псевдочастоты с частотой дается соотношением (1.76); при малых значениях м частота и псевдочастота практически совпадают (см. (1.77)).
Ч
астотная амплитудно-фазовая характеристика на плоскости w по своему характеру ничем принципиально не отличается от частотных характеристик непрерывных систем. Это дробно-рациональная функция переменной j
*, причем псевдочастота меняется в пределах от нуля до бесконечности. Наряду с амплитудно-фазовыми характеристиками могут быть построены логарифмические частотные характеристики. Это позволяет применять известные методы синтеза непрерывных систем регулирования в случае импульсных систем.
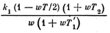
Пример: Построить ЛЧХ для импульсной системы; Т = 0,1 с, Т1 = 0,1 с, Т’1= 0,11 c,
Т
2 = 0,01 с,k1 = 100, kи = 1,
=1
















