МЕХАНИЧЕСКИЕ МУФТЫ (946568)
Текст из файла
21
МЕХАНИЧЕСКИЕ МУФТЫ (ММ) ПРИВОДОВ
ММ - это устройства, предназначенные для осуществления силовой и кинематической связи между валами, валом и установленными на нём деталями (зубчатые колёса, звёздочки, шкивы и т.д.), а также:
-
Компенсации несоосности соединяемых валов (из-за неизбежных монтажных отклонений, деформаций валов от экплуатационных нагрузок, тепловых воздействий и т.п.)
-
Амортизации (ослабления) и демпфирования (гашения) колебаний внешней нагрузки
-
Включения и выключения привода
-
Предохранения деталей привода от разрушения при перегрузках
В
следствие погрешностей изготовления деталей и погрешностей сборки валы, соединяемые муфтой, как правило, имеют смещения:
1. радиальное Δr,
2. угловое (перекос) Δα
3. осевое Δа
классификация ММ
В современном машиностроении применяют большое количество муфт, различающихся по
принципу действия и управления,
назначению и конструкции.
Классификация муфт по этим признакам представлена ниже в виде схемы. В электрических и гидравлических муфтах, указанных на этой схеме, используют принципы сцепления за счет электромагнитных и гидродинамических сил. Эти муфты изучают в специальных курсах. В курсе "Детали машин" изучают только механические муфты.
Ш
ироко применяемые муфты стандартизованы.
Основной паспортной характеристикой муфты является:
величина вращающего момента, на передачу которого она рассчитана
, где
(К)- коэффициент запаса, зависящий от типа машины и двигателя
Неосновные характеристики: диаметр вала
частота вращения
Г
лухие муфты (ГМ) образуют жесткое и неподвижное соединение валов (глухое соединение). Они не компенсируют
ошибки изготовления и монтажа, требуют точной центровки валов.
Б
ывают: втулочные, фланцевые, продольно-свёртные.
При соединении глухими муфтами несоосные валы в месте установки муфты приводят к одной общей оси путем: деформирования валов и опор. Опоры и валы дополнительно нагружаются. Поэтому при соединении глухими муфтами требуется высокая точность расположения валов. Для понижения этих требований и уменьшения вредных нагрузок на валы и опоры применяют компенсирующие муфты . Компенсация вредного влияния несоосности валов достигается: вследствие подвижности практически жестких деталей - компенсирующие жесткие муфты; за счет деформации упругих деталей - упругие муфты. Так как упругие муфты выполняют еще и другие функции, то их выделяют в особую группу.
Наибольшее распространение в качестве компенсирующих жестких муфт получили кулачково-дисковая (КДМ) и зубчатая (ЗМ).
К
ДМ (см. рис.) состоит из двух полумуфт 1, 2 и промежуточного диска 3. На внутреннем торце каждой полумуфты образовано по одному диаметрально расположенному пазу. На обоих торцах диска выполнено по одному выступу, которые расположены по взаимно перпендикулярным диаметрам. У собранной муфты выступы диска располагаются в пазах полумуфт. Таким образом диск соединяет полумуфты.
Перпендикулярное расположение пазов позволяет муфте компенсировать эксцентриситет и перекос валов. При этом выступы скользят в пазах, а центр диска описывает окружность радиусом, равным эксцентриситету Δ r. Зазоры δ между диском и полумуфтами позволяют компенсировать также и продольные смещения валов. Вследствие того что перекос валов вызывает неблагоприятное распределение давления в пазах, КДМ рекомендуют применять в основном для компенсации эксцентриситета: Δ r до 0,04d; Δα до 0°30'.
Скольжение выступов в пазах сопровождается их износом. Интенсивность износа возрастает с увеличением несоосности и частоты вращения. Для уменьшения износа поверхности трения муфты периодически смазывают (отверстие 4 на рис.) и не допускают на них больших напряжений смятия. Последнее является основным условием расчета всех жестких муфт со скользящими деталями.
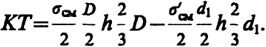
П
ри расчете КДМ полагают, что натяг и зазор посадки выступов в пазы равны нулю. В этом случае деформации и напряжения в различных точках поверхности соприкосновения пропорциональны расстояниям этих точек до оси муфты (см. рис., б); здесь эпюра напряжений смятия условно перенесена с боковых сторон паза на диаметр. Условия равновесия полумуфты можно записать в виде
Учитывая, что σ см / σ' см = D/d1, после преобразования получаем
σ см = 6KTD/[h(D3 - d31)] ≤ [ σ см],
где К - коэффициент динамичности режима нагрузки; h - рабочая высота выступов (см. рис., а). На практике принимают D/d ≈2,5...3. Обычно детали КДМ изготовляют из сталей Ст5 (поковка) или 25Л (литье). Для тяжелонагруженных муфт применяют легированные стали типа 15Х, 20Х с цементацией рабочих поверхностей. При этом допускают [ σ см] = 15...20МПа.
Работа муфты с эксцентриситетом сопровождается потерями на трение и дополнительной нагрузкой валов. Дополнительная нагрузка валов от муфты, FM равна силе трения в пазах:
Fм = 3KT(D2 + d21)f / (D3 - d31) ≈Ft f.
В этой формуле отношение (D3 - d31) / [3(D2 - d21)] принято за радиус приложения некоторой фиктивной окружной силы муфты Ft = KT / Rср. Приближенно (D3 - d31) / [3(D2 - d21)] ≈ Rср(D + d1) / 4.
Таким образом, применение компенсирующих муфт значительно уменьшает, но не устраняет полностью вредных нагрузок на валы и опоры, связанные с несоосностью.
Для определения потерь на трение в муфте воспользуемся рис. в. Нетрудно установить, что при повороте полумуфты на каждые 90° кулачки перемещаются в пазах на эксцентриситет Δr. Например, после поворота на первые 90° центры полумуфты и диска совмещаются, так как паз полумуфты 1 займет горизонтальное положение, а полумуфты 2 - вертикальное (см. также рис., а). Таким образом, в пазах каждой полумуфты силы трения совершают работу на пути, равном 4Δr, а в двух полумуфтах - 8Δ r за каждый оборот вала. Работа, потерянная на трение за один оборот, Wтр=8ΔrFM. Полезная работа в то же время Wп=2πT, а коэффициент полезного действия муфты
η м = 1- (Wтр / Wп). Принимая приближенно Fм = T / [(D+d1)/4],получаем
Практически при расчетах приводов можно принимать: η м ≈0,985...0,995.
М
уфта зубчатая (МЗ). Состоит из полумуфт 1 и 2 с наружными зубьями и разъемной обоймы 3 с двумя рядами внутренних зубьев (см. рис., a). Наиболее распространен эвольвентный профиль зубьев с α =20°, ha* = 0,8. Муфта компенсирует все виды несоосности валов. С этой целью выполняют радиальные зазоры с и увеличенные боковые зазоры в зацеплении (см. рис., б), а зубчатые венцы полумуфт обрабатывают по сферам радиусами r, центры которых располагают на осях валов. Допускаемые зубчатой муфтой смещения валов (радиальные, угловые или их комбинация) определяют из
условия, чтобы углы между осью обоймы и осью одного или другого вала были не больше 0°30'.
Компенсация несоосности валов при работе муфты сопровождается скольжением в местах соприкасания зубьев и их износом. Практикой эксплуатации зубчатых муфт установлено, что износ является основным критерием работоспособности. Для уменьшения износа в обойму заливают жидкую смазку. Зубчатые муфты обладают: компактностью и хорошими компенсирующими свойствами. Их применяют для передачи больших крутящих моментов. На основе опытов приближенно принимают : η м = 0,985...0,995; Fм ≈ (0,15....0,2)Ft, где Ft определяют по диаметру D0.
Упругие компенсирующие упругие (МКУ)
В машиностроении применяют большое количество разнообразных по конструкции упругих муфт. По материалу упругих элементов эти муфты делят на две группы: с металлическими и неметаллическими упругими элементами.
В методике расчета муфт каждой из этих групп много общего, что позволяет ограничиться подробным изучением только некоторых типичных конструкций.
М
еталлические упругие элементы муфт. Основные типы металлических упругих элементов муфт изображены на рис.: а - витые цилиндрические пружины; б - стержни, пластины или пакеты пластин, расположенные по образующей или по радиусу муфты; в - пакеты разрезных гильзовых пружин; г - змеевидные пластинчатые пружины. Эти элементы работают на кручение (рис., а) или на изгиб (рис., б, в, г).
По сравнению с неметаллическими металлические упругие элементы более долговечны и позволяют изготовлять малогабаритные муфты с большой нагрузочной способностью. Поэтому их применяют преимущественно для передачи больших крутящих моментов. Пакетные упругие элементы вследствие трения между пластинами обладают высокой демпфирующей способностью. Муфты с металлическими упругими элементами в зависимости от условий деформирования элемента могут быть выполнены: с постоянной или переменной жесткостью.
М
уфта с цилиндрическими пружинами (см. рис.). Она состоит из обода 1 с ребром 2 и ступицы 4 с дисками 3. Ребро обода размещается между дисками так, что возможен относительный поворот этих деталей. Ребро и диски имеют одинаковые фасонные вырезы, в которые закладывают пружины 5 с ограничителями 6. С торцов муфты закрывают дисками 7, которые прикрепляют к ступице или ободу для предохранения пружины и ограничителей от выпадания и загрязнения. Характеристика муфты с цилиндрическими пружинами изображена на рис. Вследствие предварительного сжатия пружин силой. F1 муфта работает как жесткая до нагрузки моментом T1. При этом T1 = F1 r z, где r - радиус расположения пружин (см. рис. 17.18); z - число пружин. При Т>T1 муфта работает как упругая с постоянной жесткостью. Деформацию пружин λ и напряжение τ в ее витках определяют по формулам
λ = 8FD3i / (Gd4), τ = kв 8FD / (πd3),
где F - осевая сила, сжимающая пружину; D - средний диаметр пружины; d - диаметр проволоки; i - число рабочих витков пружины; G - модуль сдвига; kв - коэффициент, учитывающий влияние кривизны витков. Угол закручивания муфты при Т >T1
Характеристики
Тип файла документ
Документы такого типа открываются такими программами, как Microsoft Office Word на компьютерах Windows, Apple Pages на компьютерах Mac, Open Office - бесплатная альтернатива на различных платформах, в том числе Linux. Наиболее простым и современным решением будут Google документы, так как открываются онлайн без скачивания прямо в браузере на любой платформе. Существуют российские качественные аналоги, например от Яндекса.
Будьте внимательны на мобильных устройствах, так как там используются упрощённый функционал даже в официальном приложении от Microsoft, поэтому для просмотра скачивайте PDF-версию. А если нужно редактировать файл, то используйте оригинальный файл.
Файлы такого типа обычно разбиты на страницы, а текст может быть форматированным (жирный, курсив, выбор шрифта, таблицы и т.п.), а также в него можно добавлять изображения. Формат идеально подходит для рефератов, докладов и РПЗ курсовых проектов, которые необходимо распечатать. Кстати перед печатью также сохраняйте файл в PDF, так как принтер может начудить со шрифтами.
















