фопросы (946127), страница 2
Текст из файла (страница 2)
Закон сохранения энергии — фундаментальный закон природы, заключающийся в том, что энергия замкнутой системы сохраняется во времени. Энергия не может возникнуть из ничего и не может в никуда исчезнуть, она может только переходить из одной формы в другую. В классической механике закон проявляется в сохранении механической энергии (суммы потенциальной и кинетической энергий). Частный случай — Закон сохранения механической энергии — механическая энергия консервативной механической системы сохраняется во времени. Проще говоря, при отсутствии сил типа трения механическая энергия не возникает из ничего и не может никуда исчезнуть. В замкнутой системе полная механическая энергия этой системы остается величиной постоянной Wполн=Wk+Wn Wk+Wn = const
Закон сохранения энергии — это интегральный закон. Это значит, что он складывается из действия дифференциальных законов и является свойством их совокупного действия. З.с.э отражает понятие однородности времени. Не важно в какой момент времени рассматривается система, з. для нее будет выполнятся. Можно добавить к законам сохранения массы
-
Потенциальная энергия материальной точки и ее связь с силой, действующей на эту точку.
-
Кинетическая энергия вращающегося тела.
Моментом инерции мат.т. наз.физ.величина численно равная произведению массы мат.т. на квадрат расстояния этой точки до оси вращения.Wki =miV2i/2 Vi -Wri Wi=miw2r2i/2 =w2/2*miri2 Ii=mir2i момент инерции твердого тела равен сумме всех мат.т I=imir2i моментом инерции твердого тела наз. физ.величина равная сумме произведений мат.т. на квадраты расстояний от этих точек до оси. Wi-IiW2/2 Wk=IW2/2
Wk =iWki момент инерции при вращательном движении явл. аналогом массы при поступательном движении. I=mR2/2
-
Момент инерции тела относительно не подвижной оси вращения.
Теорема Штейнера: Моментом инерции твердого тела относительно любой оси равен сумме момента инерции относительно оси проходящей через центр масс и произведению массы этого тела на квадрат расстояния между осями. I=I0+md2 .Величина I, равная сумме произведений элементарных масс на квадраты их расстояния от некоторой оси, наз. моментом инерции тела относительно данной оси. I=miRi2 Суммирование производиться по всем элементарным массам на которые можно разбить тело.
-
Момент силы относительно неподвижной точки на оси вращения. Момент силы относительно неподвижной оси вращения.
Моментом силы наз. физ. величина численно равная векторному произведению радиуса вектора силы на вектор силы M =[r*F] r- радиус вектор силы. Линия в доль которой действуют силы наз. линией действия силы. M=rRsin r*sin=l M=F*l l- плече силы, перпендикуляр кратчайшее расстояние до линии действия силы. Моментом силы относительно оси Z наз. проекция момента силы на выбранное направление Z Mz=[r*F]z
-
Момент импульса материальной точки. Момент импульса твердого тела относительно неподвижной оси вращения.
Моментом импульса т. наз. величина физически равная векторному произведению радиуса вектора т. на ее импульс L=[r*p] p=mV L=[r*mV] L=Iw lw –напр. в одну сторону. Моментом импульса тела называется величина, равная векторной сумме моментов импульса его частей: L = Li = [ri·pi] = [ri·mivi]. Произведя суммирование по всему телу и исходя из определения момента инерции, получим выражение для проекции момента импульса тела на ось Z: Lz = LziLi·cos(i)Ri·mi·wz = I·wz. При суммировании мы учли, что значения проекций векторов моментов импульса каждой части тела на ось Z имеют одинаковые знаки, т.к. для них углы между вектором угловой скорости и моментами импульсов всегда острые. выражение не зависит от выбора точки О на оси вращения. В случае несимметричного тела вектор L направлен под произвольным углом к оси вращения и прецессирует вокруг нее. В случае симметричного тела и нахождения точки О на оси симметрии направление момента импульса тела совпадает с направлением его угловой скорости, т.к. всегда найдется пара симметричных точек, для которых составляющие вектора L, в направлении перпендикулярном оси вращения, скомпенсированы. Следовательно, для симметричного тела, вращающегося вокруг оси симметрии справедливо векторное равенство: L = I·w. (7.3)
Момент импульса симметричного тела, вращающегося вокруг оси симметрии, равен произведению его момента инерции относительно этой оси на угловую скорость. Вражение аналогично определению импульса тела в случае его поступательного движения точки p = m·v. Следовательно, момент импульса твердого тела - есть мера его вращательного движения.
-
Абсолютно твердое тело. Основной закон динамики вращательного движения твердого тела относительно неподвижной оси.
Абсолютно твердое телом наз. тело, деформациями которого можно пренебречь в условиях данной задачи. Частный случай 2го закона Ньютона. F=ma a=Er F=mEr момент силы rF = mr2E момент инерции Mi=IE при постоянном моменте инерции угловой ускорение вращающегося тела прямо-порционально результирующему моменту всех внешних сил приложенных к этому телу. E==dw/dt Mi=Idw/dt iMi=d(IW)/dt M=Dl/dt первая производная от момента импульса повремени твердого тела равна результирующему моменты всех внешних сил приложенных к этому телу
-
Закон сохранения момента импульса.
Момент импульса системы тел сохраняется неизменным при любых взаимодействиях внутри системы, если суммарный момент внешних сил, действующих на систему равен нулю. в изолированной системе сумма моментов импульса всех тел есть величина постоянная
J1ω1+J2ω2+…+Jnωn=const где Ji и ωi моменты инерции и угловые скорости тел, составляющих изолированную систему. Из основного уравнения динамики вращательного движения при М=0 получаем d/dt(Jω)=0Jω=const В изолированной системе сумма моментов импульса всех тел есть величина постоянная.
-
Гармонические колебания, уравнение гармонических колебаний.
Колебания, при которых угловое смещение изменяется со временем по закону синуса или косинуса. φ =φ0sin(w0t+) Величина (w0t+) стоящая под знаком синуса или косинуса наз. фазой колебания Амплитудой (А) наз. максимальное смещение от положения равновесия. Частотой колебаний v наз. число колебаний за единицу времени. Циклической частотой колебания w наз. число колебаний за 2п единиц времени. Периодом колебаний Т наз. время одного колебания.
-
Гармонические колебания, дифференциальное уравнение гармонических колебаний.
Дифференциальное уравнение гармонических колебаний
-
Гармонические колебания. Математический маятник.
Маятником является всякое тело, подвешенное так, что его центр тяжести находится ниже точки подвеса. Строго говоря, существуют только физические маятники. Но если маятник представляет собой груз, подвешенный на нити, масса которой пренебрежимо мала по сравнению с массой груза, т.е. он может рассматриваться как материальная точка, то такой маятник может быть рассмотрен как математический.
Для вывода формулы периода математического маятника заставим его описывать конус. Теперь, если мы будем наблюдать за маятником сбоку, то увидим, что маятник будет колебаться влево вправо. Но, так как все-таки он движется по окружности, то период будет равен: T = 2пr/v (1). При малых углах, возвращающая сила (P1) направлена по радиусу, т.е. равна силе P1=mv2/r (2). Из подобия треугольников OBC и DBE следует что BE/BD = CB/OB т.к. OB = l и BD = P = mg, то отсюда P1 = mgr/l (3) приравняв части получившихся формул 2 и 3: mv2/r = mgr/l, получим что v = rvg/l (4) теперь подставим значение скорости из формулы 4 в формулу 1 получим T = 2пvl/g Т.е. период математического маятника зависит только от длины подвеса (на одной географической широте).
Значит, зная период колебаний маятника и длину подвеса мы можем определить значение ускорения свободного падения. Но следует заметить, что такой способ измерения ускорения свободного падения не является достаточно точным.
-
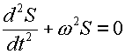
Гармонические колебания. Физический маятник. Физический маятник – это твердое тело, имеющее возможность качаться под действием его силы тяжести mg вокруг неподвижной горизонтальной оси О, не проходящей через центр тяжести тела и называемой осью качания маятника. Центр тяжести маятника совпадает с его центром инерции. Дифференциальное уравнение гармонических колебаний имеет вид: dx/dt+02x=0, а его решение x=A0cos (t+£), где A0-амплитуда колебаний угла x, а =(mgd/Y) и Т=2П=(Y/mgd) – циклическая частота и период малых колеб. физ. маятника.
Физический маятник - твердое тело, совершающее колебания в гравитационном поле вокруг горизонтальной оси подвеса, расположенной выше его центра тяжести.
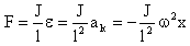
В соответствии с основным законом динамики вращения M=Je в общем случае для физического маятника момент силы M=Fl, а касательное ускорение равно ak=εl
Для гармонических колебаний F=-mg/1*x, но из основного закона динамики вращательного движения F=-J/12w2x. Приравнивая выражения для силы, получаем частоту и период колебаний физического маятника:
,
.
-
Затухающие колебания. Дифференциальное уравнение затухающих колебаний.
Затухающими называются колебания, энергия которых убывает с течением времени. Затухание свободных колебаний механической системы обусловлено главным образом трением и возбуждением в окружающей среде упругих волн. Дифференциальное уравнение свободных затухающих колебание линейной системы имеет вид: d2x/dt2+2dx/dt+02x=0. Здесь x- изменяющаяся при колебаниях физическая характеристика системы, =const>0 – коэффициент затухания, а 0- циклическая частота свободных незатухающих колебаний той же системы, т.е. в отсутствие потерь энергии(при =0). Решением этого уравнения затухающих колебаний имеет вид: x=A0e-tcos(t+£). Здесь =02-2), а постоянные величины А0 и £ зависят от начальных условий, т.е. от значений x и dx/dt в начальный момент времени (t=0). Затухающие колебания не являются периодическими. Например, максимальное значение колеблющейся величины x, достигаемое в некоторый момент времени t1, в последующем (при t>t1) никогда не повторяется. Однако при затухающих колебаниях величина x обращается в 0, изменяясь в одну и ту же сторону, а так же достигает максимальное и минимальное значения через равные промежутки времени: T=2П/=2п/02-2). Поэтому величины T и условно называют периодом (условным периодом) и циклической частотой (условной циклической частотой) затухающих колебаний. Величина А=А0е-t называется амплитудой затухающих колебаний, соответственно А0- начальной амплитудой. Промежуток времени =1/, в течение которого амплитуда затухающих колебаний уменьшается в е раз, называется временем релаксации.
-
Вынужденные колебания. Дифференциальное уравнение вынужденных колебаний. Резонанс
внешняя сила, приложенная к системе и вызывающая ее вынужденные механические колебания, называется вынуждающей или возмущающей, силой. Дифференциальное уравнение вынужденных колебаний простейшей линейной системы -пружинного маятника -происходящих вдоль оси ОХ под влиянием переменной внешней силы F(t): d2x/dt2+2dx/dt+ +02x=m-1Fcos t. После приложения этой силы к маятнику вначале возникает переходный режим вынужденных колебаний. Маятник одновременно участвует в двух колебаниях: х=х1(t)+x2(t). Первый член соответствует свободным затухающим колебаниям маятника: x1(t)=Аoe-tcos(t + £), где =(o2+2). Второй член соответствует незатухающим периодическим колебаниям маятника с частотой, равной частоте возмущающей силы F. Через некоторое время т после начала колебаний свободные колебания маятника практически прекращаются. Маятник переходит в состояние установившихся вынужденных колебаний, совершающихся с частотой возмущающей силы. Амплитуда смещения в случае установившихся вынужденных гармонических колебаний маятника достигает максимума при циклической частоте Колебаний р=(o2-22), где 0-циклическая частота свободных затухающих колебаний маятника. Частота р называется резонансной. Максимальная амплитуда Aмакс=А(р)= =F0/2m0=пF0/m02, где -логарифмический декремент затухания. Резкое возрастание амплитуды вынужденных механических колебаний при приближении циклической частоты возмущающей силы к значению p называется явлением механического резонанса. (Совпадение периода колебаний системы с периодом внешней силы, действующей на эту систему).
















