К1(8) (938333)
Текст из файла
К-1 вар 8
Исходные данные.
| Уравнение движения по оси x, см. | Уравнение движения по оси y, см. | Время, с. |
| x(t) = 7sin(πt2/6)+3 | y(t) = 2-7cos(πt2/6) | t1=1 |
Найти.
По заданным уравнениям движения точки М установить вид её траектории и для момента t=t1(c) найти положение точки на траектории, её скорость, полное, касательное и нормальное ускорения, а также радиус кривизны траектории.
Решение.
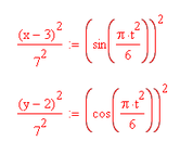
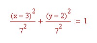
1) Уравнения движения можно рассматривать как параметрические уравнения траектории точки. Чтобы получить уравнение траектории необходимо исключить t из уравнений. Получаем что
Суммируя, получаем:
Это каноническое уравнение эллипса. То есть траекторией движения точки является круг радиуса 7 сантиметров.
2) Определим координаты точки в момент времени t0=0 и при t1=1.
x(0) = 3 см, y(0) = -5 см,
x(1) = 6.5 см, y(1) = -4.06 см.
3) Найдем скорость точки дифференцируя по времени уравнения движения точки.
Vx = x΄ = 7/3∙cos(πt2/6)∙πt, см/с.
Vy = y΄ = 7/3∙sin(πt2/6)∙πt, см/с.
При t1=1c скорости точки по осям равны
Vx(t1) = x΄(1) = 7/3∙cos(π/6)∙π = 6.348 см/с.
Vy(t1) = y΄(1) = 7/3∙sin(π/6)∙π = 3.665 см/с.
При этом модуль скорости в данной точке равен
Откуда V(1) = 7.33 см/с.
4) Найдем ускорение точки дифференцированием по времени уравнений Vx и Vy.
Wx = Vx΄ = x΄΄ = [7/3∙cos(πt2/6)∙πt]΄ = 7/3∙(cos(πt2/6) - πt2/3∙sin(πt2/6))∙π , см/с2.
Wy = Vy΄ = y΄΄ = [7/3∙sin(πt2/6)∙πt]΄ = 7/3∙(sin(πt2/6) + πt2/3∙cos(πt2/6))∙π , см/с2.
При t1=1c ускорения точки вдоль осей координат равны
Wx(t1) = x΄΄(1) = 7/3∙(cos(π/6) - π/3∙sin(π/6))∙π = 2.51 см/с2.
Wy(t1) = y΄΄ (1) = 7/3∙(sin(π/6) + π/3∙cos(π/6))∙π = 10.313 см/с2.
При этом модуль ускорения в данной точке равен
Откуда W(1) = 10.614 см/с2.
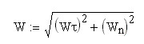
5) Модуль касательного ускорения в точке равен
Отсюда W τ = 7.33 см/с2.
Тангенциальное ускорение является проекцией ускорения точки на вектор её скорости.
Если оно положительно, то тоска движется равноускоренно, иначе – равнозамедленно. В нашем случае точка движется с положительным ускорением (равноускоренно).
6) Модуль нормального ускорения всегда направлен к центру кривизны траектории и в данной точке равен
Отсюда Wn = 7.676 см/с2.
После нахождения нормальной составляющей ускорения можно найти радиус кривизны траектории из выражения
В нашем случае траектория представляет собой круг, то есть радиус кривизны траектории постоянен и равен 7 см.
7) Так как вектор полного ускорения складывается из векторов тангенциального и нормального:
то можно проверить правильность нахождения проекций ускорения на оси координат.
Действительно:
То есть результаты выполнения расчётно-графической работы верны.
Результаты расчётов.
x(1) = 6.5 см, y(1) = -4.06 см.
| Vx, см/с | Vy, см/с | V, см/с | Wx, см/с2 | Wy, см/с2 | W, см/с2 | Wτ, см/с2 | Wn, см/с2 |
| 6.34 | 3.66 | 7.33 | 2.51 | 10.31 | 10.61 | 7.33 | 7.67 |
Характеристики
Тип файла документ
Документы такого типа открываются такими программами, как Microsoft Office Word на компьютерах Windows, Apple Pages на компьютерах Mac, Open Office - бесплатная альтернатива на различных платформах, в том числе Linux. Наиболее простым и современным решением будут Google документы, так как открываются онлайн без скачивания прямо в браузере на любой платформе. Существуют российские качественные аналоги, например от Яндекса.
Будьте внимательны на мобильных устройствах, так как там используются упрощённый функционал даже в официальном приложении от Microsoft, поэтому для просмотра скачивайте PDF-версию. А если нужно редактировать файл, то используйте оригинальный файл.
Файлы такого типа обычно разбиты на страницы, а текст может быть форматированным (жирный, курсив, выбор шрифта, таблицы и т.п.), а также в него можно добавлять изображения. Формат идеально подходит для рефератов, докладов и РПЗ курсовых проектов, которые необходимо распечатать. Кстати перед печатью также сохраняйте файл в PDF, так как принтер может начудить со шрифтами.
















