Курсовая (847181)
Текст из файла
Министерство образования и науки Российской Федерации
ФЕДЕРАЛЬНОЕ ГОСУДАРСТВЕННОЕ БЮДЖЕТНОЕ ОБРАЗОВАТЕЛЬНОЕ УЧРЕЖДЕНИЕ ВЫСШЕГО ОБРАЗОВАНИЯ «УРАЛЬСКИЙ ГОСУДАРСТВЕННЫЙ ЛЕСОТЕХНИЧЕСКИЙ УНИВЕРСИТЕТ» (УГЛТУ)
Кафедра технологий целлюлозно-бумажных производств и переработки полимеров (ТЦБП и ПП)
КУРСОВАЯ РАБОТА
по дисциплине «Химия и физика растительного сырья»
Тема: «ХИМИЯ И ТЕХНОЛОГИЯ ГИДРОЛИЗА ПОЛИСАХАРИДОВ ДРЕВЕСИНЫ РАЗБАВЛЕННЫМИ КИСЛОТАМИ»
Выполнила:
«___» декабря__2018 г.
Проверила:
Вураско А.В.
Доцент кафедры ТЦБПи ПП
«___» декабря____2018г.
Екатеринбург 2018
Содержание
| Реферат | 3 |
| Введение | 4 |
| 1. Нахождение полисахаридов в древесине | 5 |
| 2. Разновидности полисахаридов | 7 |
| 2.1. Холоцеллюлоза | 7 |
| 2.2. Целлюлоза | 8 |
| 2.3. Гемицеллюлозы | 10 |
| 3. Гидролиз полисахаридов древесины | 11 |
| 4. Технологическая схема гидролиза полисахаридов 5. Применение полисахаридов | 15 20 |
| Заключение | 21 |
| Список литературы | 22 |
РЕФЕРАТ
Химия и технология гидролиза разбавленными кислотами
Курсовая работа. УГЛТУ, ИХПРС и ПЭ, кафедра ТЦБП и ПП. Руководитель: А.В. Вураско – Екатеринбург 2018 г. – ПЗ 25 с., использовано 26 источников, 5 рис., 5 частей.
Объект исследования: Полисахариды древесины.
Цель работы – изучить химию и технологию гидролиза полисахаридов древесины разбавленными кислотами.
Задача – изучить оптимальную технологию для гидролиза полисахаридов разбавленными кислотами.
Результат работы – изучены процессы гидролиза разбавленными кислотами составляющих основную часть древесины полисахаридов.
Выявлено, что все полисахариды подвергаются гидролизу, в результате которого распадаются на моносахариды или создают новые конечные продукты.
Важнейшие достоинства гидролиза полисахаридов: получение сахарной глюкозы, брожение сахаров до образования спиртов, рыночный спрос на готовую продукцию и сырье.
Недостатки гидролиза полисахаридов: трудоемкий способ, использование большого количества разбавленных кислот, устаревшее оборудование, потеря моносахаридов вследствие их разложения.
Введение
Цель работы – изучить химию и технологию гидролиза полисахаридов древесины разбавленными кислотами.
Задача – изучить оптимальную технологию для гидролиза полисахаридов разбавленными кислотами.
Термин “гидролиз древесины” обозначает процессы превращения древесных полисахаридов в моносахариды. Полученные с помощью гидролиза вещества чаще всего сбраживают в спирты.
Реакция распада полисахаридов впервые была использована в 1811 году Константином Кирхгофом, получившим глюкозу при помощи действия на крахмал разбавленными минеральными кислотами.
Гидролиз целлюлозы впервые был осуществлен в 1819-1822 годах французским ученым Браконно, получившим виноградный сахар гидролизом целлюлозы, и российским ученым Н. Фогелем. Целлюлозу растворяли в концентрированной серной кислоте, при этом полисахарид расщепился, превратившись в декстрин (полисахарид, получаемый термической обработкой картофеля или кукурузы). Для превращения целлюлозы требовалось большое количество серной кислоты, соответственно опыт не всегда мог быть осуществлен.
Первый гидролизный завод начал свою работу на территории советского Ленинграда в 1935 году. Тогда технология гидролиза с использованием серной кислоты влекла за собой образование большого количества отходов производства в виде осажденных мельчайших частиц при промывке материала, сокращениемотходов занимаются и сегодня. Небольшому количеству заводов удалось поменять свой профиль и начать выпускать востребованную рынком продукцию. Большинство предприятий не ориентированность на рынок привела к упадку. Остановка работы биотехнологических предприятий привела к резкому падению производства не только технических спиртов и растворителей (ацетона, бутанола, этанола), но также микробиологического кормового дрожжевого белка. Резко снизилось производство глюкозных сахаров – сырья для производства антибиотиков. И это лишь несколько причин, приведших к острой проблеме возрождения гидролизных заводов России, требующей безотлагательного решения [1].
1. Нахождение полисахаридов в древесине
Полисахариды – высокомолекулярные углеводы, молекулы которых представляют собой длинные линейные или разветвлённые цепочки, соединённые гликозидной связью. Полисахариды в природе очень распространены. На данный момент содержание полисахаридов растений определяют методом хроматографии после предварительного кислотного гидролиза [2]. Полисахаридами древесины являются холоцеллюлозы, состоящие из гемицеллюлоз и целлюлоз.
Полисахариды составляют значительную часть растений, водорослей и древесины. Химический состав древесины показан на рисунке 1.
Рисунок 1 – Химический состав древесины
Основной химический состав древесины разных пород практически одинаков. Основные органические составляющие древесины представлены в таблице 1. В среднем древесина содержит 49,5% углерода, 44,2% кислорода и 6,3% водорода. Азота в древесине содержится около 0,12%. На процентном содержании углерода, кислорода и водорода практически не условия произрастания. Входящие в состав древесины углерод, водород и кислород образуют сложные органические вещества. Смесь этих веществ образует клеточную оболочку (целлюлоза, лигнин, гемицеллюлозы – пентозаны и гексозаны) и составляет 90…95% массы абсолютно сухой древесины. Остальные вещества, входящие в состав древесины, называются экстрактивными, что означает извлекаемые различными растворителями без изменения состава древесины; из экстрактивных веществ наибольшее значение имеют дубильные вещества и смолы [3].
Таблица 1. Содержание органических веществ в древесине различных пород.
| Органические вещества | Содержание органических веществ, % от массы абсолютно сухой древесины | |||||
| сосны | ели | пихты | бука | березы | осины | |
| Растворимые в эфире | 4,91 | 1,87 | 0,87 | 0,45 | 1,50 | 1,51 |
| Растворимые в горячей воде | 2,98 | 3,19 | 1,40 | 3,41 | 2,30 | 2,96 |
| Целлюлоза, свободная от пентозанов | 56,50 | 55,17 | 48,40 | 47,75 | 47,20 | 47,80 |
| Лигнин | 27,05 | 27,00 | 29,89 | 27,72 | 19,10 | 21,67 |
| Пентозаны | 10,45 | 11,24 | 5,30 | 23,40 | 28,70 | 23,52 |
2. Разновидности полисахаридов древесины
По характеру моносахаридов, входящих в состав полисахаридов, полисахариды делят на 2 типа: гомополисахариды (гомополимеры) и гетерополисахариды (гетерополимеры). Моносахаридные единицы одного типа входят в состав гомополисахаридов, а остатки нескольких моносахаридов и их производных - гетерополисахаридов.
Основными представителями гомополисахаридов являются крахмал, целлюлоза, гликоген, хитин (относятся к животным полисахаридам); гетерополисахариды представлены инулином, пектиновыми веществами, слизями и камедями [4].
2.1 Холоцеллюлоза
Структурные полисахариды, не извлекаемые из древесины нейтральными растворителями и водой называют холоцеллюлозой. Холоцеллюлоза (рис.2) – комплекс полисахаридов древесины, получающийся в виде волокнистого остатка после удаления экстрактивных веществ и удаления лигнина. В состав холоцеллюлозы входят целлюлоза и нецеллюлозные полисахариды, которые не экстрагируются нейтральными растворителями, используемыми для извлечения экстрактивных веществ (гемицеллюлозы). Выход холоцеллюлозы при выделении ее из древесины различными методами составляет в среднем для хвойных пород 70...73 %, лиственных пород – 72...79 %. Гемицеллюлозы легче извлекаются из холоцеллюлозы, чем из древесины. При выделении из холоцеллюлозы целлюлоза меньше изменяется, чем при выделении из древесины.
Рисунок 2 – Состав холоцеллюлозы
В промышленности получение холоцеллюлозы рассматривают как перспективный способ выделения полисахаридов древесины для дальнейшей переработки в целлюлозно-бумажном и гидролизных производствах.
Содержащиеся в волокнистом полуфабрикате гемицеллюлозы увеличивают выход продукта, а также улучшают размол целлюлозной массы и свойства получаемой бумаги [5].
2.2 Целлюлоза
Структурной единицей целлюлозы является β -D-глюкопираноза, звенья которой связаны 1-4-гликозидными связями. Это можно подтвердить опытным путем, проведя частичный гидролизцеллюлозы, при котором образуется дисахарид целлобиоза, имеющий ту же самую связь.
Наибольшее содержание целлюлозы (96…98%) обнаружено в хлопке. Также она содержится в волокнах льна и конопли. Целлюлоза(рис.3) содержится в растительных тканях вместе с лигнином, гемицеллюлозами, пектиновыми веществами, смолами и жирами.
Рисунок 3 – Формула целлюлозы
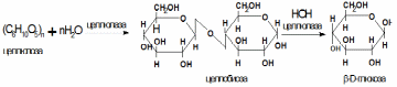
Опытным путем с помощью гидролиза целлюлозы (рис.4) в присутствии кислоты можно получить глюкозу, которая используется для получения кормовых дрожжей, этилового спирта.
Рисунок 4 – Гидролиз целлюлозы
Этапы гидролиза целлюлозы: разрушение аморфных участков, целлюлоза утрачивает волокнистую структуру и образует гидроцеллюлозу, которая, в свою очередь, является смесью исходного полисахарида с продуктами гидролиза различной степени полимеризации. По сравнению с исходным состоянием полимера гидроцеллюлоза имеет пониженную степень полимеризации, но более высокую степень кристалличности.
Характеристики
Тип файла документ
Документы такого типа открываются такими программами, как Microsoft Office Word на компьютерах Windows, Apple Pages на компьютерах Mac, Open Office - бесплатная альтернатива на различных платформах, в том числе Linux. Наиболее простым и современным решением будут Google документы, так как открываются онлайн без скачивания прямо в браузере на любой платформе. Существуют российские качественные аналоги, например от Яндекса.
Будьте внимательны на мобильных устройствах, так как там используются упрощённый функционал даже в официальном приложении от Microsoft, поэтому для просмотра скачивайте PDF-версию. А если нужно редактировать файл, то используйте оригинальный файл.
Файлы такого типа обычно разбиты на страницы, а текст может быть форматированным (жирный, курсив, выбор шрифта, таблицы и т.п.), а также в него можно добавлять изображения. Формат идеально подходит для рефератов, докладов и РПЗ курсовых проектов, которые необходимо распечатать. Кстати перед печатью также сохраняйте файл в PDF, так как принтер может начудить со шрифтами.
















