Отчет по лабораторной работе №21 Выпрямители. (843515)
Текст из файла
Отчет по лабораторной работе №21 Выпрямители.
Група:
Студент:
Дата:
Рис. 1 Однополупериодный выпрямитель.
( внимание J2 должен быть всегда замкнут)
1.Снимите осциллограммы напряжения на нагрузке при C1 отключено и C1 включено (выключатель J1). Постройте графики.
Рис. 1 C1 включен
Рис. 2 С1 выключен
2. Снимите внешнюю характеристику источника питания при C1 отключено и C1 включено (выключатель J1). Постройте графики.
Снимите зависимость коэффициента пульсации Кп (C1 включено).
Кп = (Uмак – Uмин)/Uср;
Uмак и Uмин по показаниям осциллографа,
Uср по показаниям вольтметра U2.
С1 отключено.
| R(Ом) | 20 | 30 | 40 | 50 | 60 | 70 | 80 | 90 |
| Iн(А) | 0.457 | 0.305 | 0.229 | 0.183 | 0.153 | 0.131 | 0.114 | 0.102 |
| Uн(В) | 9.145 | 9.147 | 9.149 | 9.151 | 9.152 | 9.154 | 9.156 | 9.159 |
Рис. 3 Внешняя характеристика без С1
С1 включено.
| R(Ом) | 20 | 30 | 40 | 50 | 60 | 70 | 80 | 90 |
| Iн(А) | 1.038 | 0.764 | 0.601 | 0.498 | 0.425 | 0.371 | 0.329 | 0.295 |
| Uн(В) | 20.736 | 22.905 | 24.047 | 24.884 | 25.484 | 25.936 | 26.289 | 26.573 |
| Кп | 0.763 | 0.527 | 0.416 | 0.362 | 0.314 | 0.270 | 0.204 | 0.188 |
Рис. 4 Внешняя характеристика с С1
Рис. 2Двухполупериодный выпрямитель
( внимание J2 должен быть всегда замкнут)
3.Снимите осциллограммы напряжения на нагрузке при C1 отключено и C1 включено (выключатель J1). Постройте графики.
Рис. 5 C1 включен
Рис. 6 С1 выключен
4. Снимите внешнюю характеристику источника питания при C1 отключено и C1 включено (выключатель J1). Постройте графики.
Снимите зависимость коэффициента пульсации Кп (C1 включено).
Кп = (Uмак – Uмин)/Uср;
Uмак и Uмин по показаниям осциллографа,
Uср по показаниям вольтметра U2.
С1 отключено.
| R(Ом) | 20 | 30 | 40 | 50 | 60 | 70 | 80 | 90 |
| Iн(А) | 0.874 | 0.583 | 0.438 | 0.350 | 0.292 | 0.251 | 0.219 | 0.195 |
| Uн(В) | 17.477 | 17.491 | 17.512 | 17.523 | 17.532 | 17.540 | 17.547 | 17.552 |
Рис. 7 Внешняя характеристика без С1
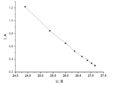
С1 включено.
| R(Ом) | 20 | 30 | 40 | 50 | 60 | 70 | 80 | 90 |
| Iн(А) | 1.219 | 0.845 | 0.650 | 0.527 | 0.444 | 0.384 | 0.338 | 0.302 |
| Uн(В) | 24.382 | 25.361 | 25.989 | 26.347 | 26.639 | 26.855 | 27.024 | 27.159 |
| Кп | 0.310 | 0.197 | 0.154 | 0.133 | 0.113 | 0.093 | 0.074 | 0.073 |
Рис. 8 Внешняя характеристика с С1
Рис. 3 Симисторный регулятор мощности.
Снимите зависимость мощности нагрузки Р от угла включения α для пяти значении от нуля до 180 градусов.
Угол определяем по осциллограмме как на рис. 4.
При угле 1800 мощность близка к нулю. Обратите внимание на переключение диапазона измерений на ваттметре.
Рис. 4
| α0 | 37.08 | 83.142 | 64.044 | 98.874 | 126.144 |
| Рн(Вт) | 36.564 | 22.976 | 30.834 | 19.560 | 16.230 |
Характеристики
Тип файла документ
Документы такого типа открываются такими программами, как Microsoft Office Word на компьютерах Windows, Apple Pages на компьютерах Mac, Open Office - бесплатная альтернатива на различных платформах, в том числе Linux. Наиболее простым и современным решением будут Google документы, так как открываются онлайн без скачивания прямо в браузере на любой платформе. Существуют российские качественные аналоги, например от Яндекса.
Будьте внимательны на мобильных устройствах, так как там используются упрощённый функционал даже в официальном приложении от Microsoft, поэтому для просмотра скачивайте PDF-версию. А если нужно редактировать файл, то используйте оригинальный файл.
Файлы такого типа обычно разбиты на страницы, а текст может быть форматированным (жирный, курсив, выбор шрифта, таблицы и т.п.), а также в него можно добавлять изображения. Формат идеально подходит для рефератов, докладов и РПЗ курсовых проектов, которые необходимо распечатать. Кстати перед печатью также сохраняйте файл в PDF, так как принтер может начудить со шрифтами.
















