Методические указания (775196), страница 3
Текст из файла (страница 3)
Рис. 2 Виды связей: а - индивидуальная; б - разветвляющаяся; в - соединительная; г – магистральная.
Разветвляющаяся связь применяется для передачи информации между одним источником и несколькими приемниками. Признаком разветвляющейся связи является наличие в микропрограмме нескольких предложений операционного описания с разными левыми частями и одинаковыми правыми, описывающими одно и то же выходное слово источника.
Например, предложения
УСМ: СМ{1:8} = СМ{1:8} + РЕГ2{1:8}
УЗАП: РЕГ5{1:8} = РЕГ2{1:8}
……………………………………………
УСМК: СМК{1:8} = А{1:8} + РЕГ2{1:8}
описывают разветвляющуюся связь регистра РЕГ2 с тремя операционными элементами - сумматором СМ, регистром РЕГ5 и комбинационным сумматором СМК. Для организации связи выходная шина регистра РЕГ2 гальванически разветвляется, как это показано на рис. 2,б.
Соединяющаяся связь используется для передачи информации между несколькими источниками и одним приемником. Признаком такой связи является появление в микропрограмме нескольких предложений операционного описания с одинаковыми левыми частями и разными правыми, указывающими на использование информации от разных источников.
Например, сегмент микропрограммы
У1: CM{1:16} = CM{1:16} + P1{1:16}
У2: CM{1:16} = CM{1:16} + P2{1:16}
УЗ: CM{1:16} = CM{1:16} + P3{1:16}
описывает последовательное прибавление к содержимому накапливающего сумматора содержимого регистров P1, P2 и Р3. Выходы регистров не могут быть подключены к входу сумматора непосредственно; связь между регистрами и сумматором осуществляется через дополнительную схему мультиплексора, как это показано на рис. 2,в.
При организации соединяющейся связи управляющие сигналы У1, У2, УЗ выполняют два действия. Во-первых, они подсоединяют к входу приемника один из источников и, во-вторых, инициируют выполнение регистровой операции накопления. Первое действие является индивидуальным, а второе - общим, поэтому У1, У2 и У3 подключаются к управляющему входу суммирования УСМ через схему ИЛИ.
В реальных схемах операционных устройств сигналы коммутации мультиплексора и управляющие сигналы приемника генерируются раздельно, с тем чтобы информационные сигналы на входах приемника формировались несколько раньше момента появления импульса управления. Для этого сигнал коммутации мультиплексора должен "охватывать" импульс управления.
Магистральные связи применяются для передачи информации между многими операционными элементами, если каждый из них выступает и в качестве источника, и в качестве приемника. Магистральная связь строится как симбиоз разветвляющейся и соединяющейся связи - каждый из операционных элементов подключается к магистрали (общей шине) своими входами - непосредственно, а выходами - через мультиплексор.
На рис. 2,г изображена магистральная связь между тремя регистрами P1, P2 и Р3, работа которых описывается следующим сегментом микропрограммы:
У1: Р1{1:8}= Р2{1:8}
У2: Р1{1:8}= Р3{1:8}
УЗ: Р2{1:8}= Р1{1:8}
У4: Р2{1:8}= Р3{1:8}
У5: Р3{1:8}= Р1{1:8}
У6: Р3{1:8}= Р2{1:8}
Управляющие сигналы записи на регистр и сигналы коммутации мультиплексора формируются как
| УЗАП1 = У1 v У2 | УК1 = УЗ v У5 |
| УЗАП2 = У3 v У4 | УК2 = У1 v У6 |
| УЗАП3 = У5 v У6 | УК3 = У2 v У4 |
Часто импульсы коммутации мультиплексора рассматривают как импульс считывания с регистра источника. Для четкой работы магистральной связи импульс считывания должен "схватывать" импульс записи.
1.3.6. Построение функциональной схемы управляющего автомата
Управляющая часть операционного устройства предназначена для генерирования управляющих сигналов, организующих обмен информацией между элементами операционной части (ОЧ) и инициирующих выполнение всех регистровых операций.
Исходными данными для синтеза служит ПРОЦЕДУРА микропрограммы, которая устанавливает характер управляющих сигналов и порядок их следования.
Рассматривают два способа построения управляющей части УА:
-
управляющие устройства с жесткой логикой, когда их структура однозначно определена решаемой задачей;
-
управляющие устройства с программируемой логикой, когда их структура постоянна, а решавшая задача определяет значение специальных управляющих кодов - микрокоманд.
На этом этапе работы необходимо строить УА в двух вариантах - с жесткой и программируемой логикой.
УА с жесткой логикой может быть построен и как автомат Мура, и как автомат Мили. Выбор типа автомата необходимо осуществить по меньшему количеству состояний. Для этого вначале и для автомата Мура и для автомата Мили необходимо:
1) построить граф-схему автомата (правильно расставить состояния); на схеме в операторах преобразования указываются только управляющие сигналы без перечисления выполняемых под их воздействием микроопераций; в операторах перехода указываются только переменные условия перехода, а направления переходов отмечаются значением этой переменной - 0 или 1.
2) построить граф переходов и выходов; переход от граф-схемы алгоритма к графу переходов и выходов автомата осуществляется в соответствии с методикой, изложенной в [l7].
Исходя из графа переходов и выходов выбирается конкретный типа автомата.
По графу переходов и выходов строят таблицу переходов и выходов автомата. Кодируют внутренние состояния автомата (представляют их в виде таблицы кодирования внутренних состояний автомата) по правилу чем больше входов – тем больше нулей. Далее строят кодированную таблицу переходов и выходов. Из кодированной таблицы переходов и выходов получают аналитические выражения функций возбуждения D триггеров и генерации управляющих сигналов. По полученным выражениям осуществляют построение функциональной схемы управляющего автомата с жесткой логикой.
При построении УА с программируемой логикой, необходимо написать микропрограмму с “естественной” и с “принудительной” адресацией. В начале для каждого типа адресации необходимо: составить каноническую форму микропрограммы, определить формат микрокоманды, получить микропрограмму в закодированном виде. Выбор типа адресации необходимо осуществить по размеру занимаемой памяти микропрограммой в ПЗУ. Для выбранного способа адресации необходимо взять стандартную структуру УА (функциональную схему), изменив на ней состав признаков и размерности шин с учетом полученной микропрограммы.
Построение управляющего автомата с программируемой логикой.
Управляющие устройства с программируемой логикой используются при создании операционных устройств достаточно высокой сложности, решающих, как правило, несколько задач, В таких устройствах управляющие сигналы генерируются по значениям специальных управляющих кодов - микрокоманд, объединенных в совокупность микрокоманд - микропрограммы. Каждая задача реализуется на ОУ при выполнении соответствующей микропрограммы, которая вызывается кодом выбора задачи.
Обычно микропрограммы не изменяются в процессе эксплуатации операционного устройства, они постоянны и поэтому хранятся в постоянном запоминающем устройстве (ПЗУ) [4]. Программирование ПЗУ может осуществляться либо на заводе-изготовителе (масочное программирование), либо в лабораторных условиях, разработчиком операционного устройства (электрическое программирование). При записи микропрограммы в ПЗУ каждая микрокоманда фиксируется в отдельной ячейке ПЗУ, отличающейся своим номером (адресом). Микропрограмма как совокупность микрокоманд помещается в сегмент ПЗУ, из которого выделяют ячейку начального и конечного адреса микропрограммы. Постоянное запоминающее устройство можно рассматривать как дешифратор, преобразующий код адреса в код микрокоманды.
Каждая микрокоманда решает две задачи:
-
Какие управляющие сигналы должны генерироваться в текущем такте работы управляющего устройства ?
-
Какая микрокоманда должна выполняться следующей или, другими словами, чему равен адрес следующей за текущей микрокоманды ?
Для решения этих задач микрокоманда разделяется на два поля - операционное и адресное. В простейшем случае операционное поле включает в себя столько бит, сколько разных (не эквивалентных) управляющих сигналов должно генерировать устройство управления. Каждый бит операционного поля закрепляется за определенным управляющим сигналом. Появление единицы в бите вызывает генерацию соответствующего управляющего сигнала. Адресное поле служит для формирования адреса следующей микрокоманды в безусловном или условном переходе. Для этого в нем выделяется поле признаков, код которого указывает, какой из признаков, вырабатываемых в операционной части ОУ, принимает участие в формировании условного перехода и поля адресов A1 и А2 микрокоманд. Им передается управление в следующем такте работы УУ в зависимости от значения выбранного в текущем такте признака.
Построенная таким образом микрокоманда используется в УУ с принудительной адресацией. Слово "принудительная" подчеркивает тот факт, что текущая микрокоманда сама вынуждает (принуждает) ПЗУ выбирать следующую за ней микрокоманду.
Формат микрокоманд изображен на рис. 11. Такая микрокоманда генерирует L управляющих сигналов, организует переход по т сигналам признаков и адресует 2n ячеек ПЗУ. Если выбранный признак равен единице, условимся считать, что управление передается микрокоманде по адресу A, в противном случае – следующей микрокоманде (адрес увеличится на 1). Примем, что безусловный переход организуется в случае нулевого значения кода в поле признака микрокоманды. Безусловный переход можно рассматривать как условный при обязательном равенстве единице значения выбранного признака. Это означает, что при безусловном переходе управление всегда передается микрокоманде по адресу A.
Рис. 11. Формат микрокоманды УУ с принудительной адресацией
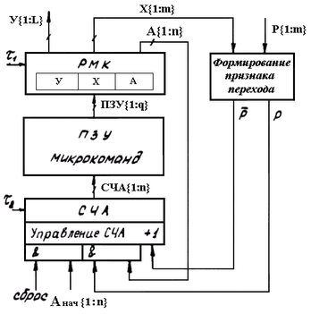
Структурная схема управляющего устройства с принудительной адресацией изображена на рис. 12. Схема управляется двумя тактовыми последовательностями τ1 и τ2 , одна из которых организует запись на регистр микрокоманды РМК, другая - на регистр адреса микрокоманды РА. В начальном состоянии УУ выполняет "пустую микрокоманду", которая, не генерируя никаких управляющих сигналов, безусловно, передает управление сама себе. Пустая микрокоманда записывается в ячейку ПЗУ нулевого адреса, ее кодовое выражение включает одни нули: Y = 0 - нет управляющих сигналов, X = 0 - безусловный переход, А1 = 0 - переход к микрокоманде нулевого адреса. Работа УУ начинается с записи в регистр адреса начального адреса выбранной микропрограммы АНАЧ. Это осуществляется при помощи кода выбора задачи, который может иметь форму начального адреса микропрограммы или формировать этот адрес через дешифратор. Выполнение текущей микрокоманды вызывает следующую микрокоманду и т.д. до тех пор, пока не будет выполнена вся микропрограмма. Последняя команда микропрограммы передает управление пустой микрокоманде, на этом работа УУ заканчивается.
Запись кода в регистр адреса осуществляется под воздействием управляющих сигналов ПУСК, Р и ┐Р. Сигнал ПУСК является внешним сигналом, Р и ┐Р формируются внутри УУ согласно выражениям.
Рис. 12. Структурная схема управляющего устройства с принудительной адресацией
В реальных микропрограммах безусловные и условные переходы встречаются далеко не в каждой микрокоманде. Поэтому в ряде случаев целесообразно строить УУ с использованием принципов естественной адресации. При естественной адресации микрокоманды делятся на операционные и управляющие, которые различаются по биту признака микрокоманды (ПРМК). За операционной микрокомандой закрепляется функция генерирования управляющих сигналов и передача управления "естественным образом" следующей по адресу микрокоманда. Управляющая микрокоманда не генерирует управляющих сигналов, она выполняет функцию передачи управления в нарушение "естественного" (друг за другом по адресу) следования микрокоманд.
















