Организация производства и управление предприятием (774812), страница 30
Текст из файла (страница 30)
- Переброска части обрабатываемых деталей на другие станки, не входящие в состав линии. Если на поточной линии возможно скопление деталей из-за превышения длительности такта, их целесообразно обрабатывать на другом станке за пределами данного участка. Этот станок следует расположить таким образом, чтобы он обслуживал не одну, а две или три поточные линии. Такая организация поточного производства целесообразна при условии, что станок достаточно производительный и время, затрачиваемое на его переналадку, невелико.
Способы синхронизации сборочных операций
- Дифференциация операций. Если операционная норма времени больше и не кратна такту и процесс сборки легко поддается дифференциации, выравнивать время, затрачиваемое на каждую операцию, можно путем разбиения ее на более мелкие части (переходы).
- Концентрация операций. Если операция по длительности меньше такта, мелкие операции или переходы, запроектированные в других операциях, группируются в одну.
- Комбинирование операций. Если время выполнения двух смежных операций меньше такта работы сборочной линии, можно организовать передвижение рабочего вместе с собираемым им изделием, поручив ему выполнение нескольких операций.
После того как достигнута синхронизация операций на поточной линии, составляется план-график ее работы, облегчающий контроль за использованием оборудования и рабочих. Правила построения плана-графика работы линии изложены в 12.6.
- Одно из основных условий непрерывной и ритмичной работы поточных линий - организация межоперационного транспорта. В поточном производстве транспортные средства не только используются для перемещения изделий, но и служат для регулирования такта работы и распределения предметов труда между параллельными рабочими местами на линии.
Применяемые в поточном производстве транспортные средства можно разделить на приводные и бесприводные непрерывного и прерывного действия.
Наиболее часто в условиях потока применяются разнообразные приводные транспортные средства-конвейеры.
Скорость ленты конвейера при непрерывном движении рассчитывается в соответствии с тактом поточной линии:
(11.11)
В случае прерывного движения скорость конвейера определяется по формуле
(11.12)
где l
- расстояние между центрами двух смежных рабочих мест (шаг конвейера), м; t
- время транспортирования изделия с одной операций на другую, мин.
Выбор транспортных средств зависит от габаритных размеров, веса обрабатываемых деталей, типа и числа оборудования, величины такта и степени синхронизации операций.
Проектирование потока завершается разработкой рациональной планировки линии. При планировке необходимо соблюдать следующие требования: предусмотреть удобные подходы к рабочим местам для ремонта и обслуживания линии; обеспечить непрерывную транспортировку деталей к различным рабочим местам на линии; выделить площадки для накопления задела и подходы к ним; предусмотреть на линии рабочие места для выполнения контрольных операций.
Метод групповой организации производства применяется в случае ограниченной номенклатуры конструктивно и технологически однородных изделий, изготовляемых повторяющимися партиями. Суть метода состоит в сосредоточении на участке различных видов технологического оборудования для обработки группы деталей по унифицированному технологическому процессу *1.
_____
*1. Групповой метод изготовления деталей разработан д-ром техн. наук С.П. Митрофановым. Основные результаты его работы отражены в трудах «Научная организация машиностроительного производства» (М., 1976) и «Групповая технология» (М. ,1986).
Характерными признаками такой организации производства являются: подетальная специализация производственных подразделений; запуск деталей в производство партиями по специально разрабатываемым графикам; параллельно-последовательное прохождение партий деталей по операциям; выполнение на участках (в цехах) технологически завершенного комплекса работ.
Рассмотрим основные этапы организации группового производства.
- Конструктивно-технологическая классификация деталей. Несмотря на многообразие и различие конструкций, детали машин имеют много сходных конструктивных, размерных и технологических признаков. Пользуясь определенной системой, можно выявить эти общие признаки и объединить детали в определенные группы. Объединяющими качествами в группе могут быть общность применяемого оборудования и технологического процесса, однотипность оснастки.
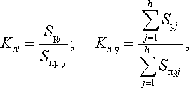
Окончательное комплектование групп деталей, закрепленных за данным участком, осуществляется с учетом трудоемкости и объема их выпуска по показателю относительной трудоемкости К
:
(11.13)
где N
- объем выпуска i-й детали в плановом периоде, шт.; k
- число операций по технологическому процессу обработки 1-й детали; t
- штучное время обработки i-й детали по j-й операции, мин; К
- средний коэффициент выполнения норм времени.
Указанный показатель рассчитывается по каждой детали анализируемой совокупности. Установление суммарных показателей для деталей последней ступени классификации обеспечивает синтез их в группы по принятому признаку.
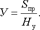
- Определение потребности в оборудовании. Необходимо оценить требуемое число единиц оборудования по каждой группе на годовую программу выпуска по формуле (11.1).
Принятое количество станков устанавливают путем округления полученного значения S
до целого. При этом допускается 10%-ная перегрузка в расчете на один станок.
Рассчитывают средние коэффициенты загрузки оборудования по группам К
и участку в целом К
:
(11.14)
где S
- принятое число станков; h - число групп оборудования на участке.
Для обеспечения экономически целесообразной загрузки ее устанавливают с учетом внутриучастковой, а по уникальным и специальным станкам межучастковой кооперации - путем передачи некоторой части работ с недогруженных станков на станки смежных групп.
- Определение числа производственных участков. В соответствии с количеством станков в цехе определяется число создаваемых в нем участков исходя из нормы управляемости для мастеров.
При реорганизации действующих цехов количество организуемых участков можно определить по формуле
(11.15)
(11.16) *1
_____
*1. Данная зависимость предложена д-ром экон. наук Г.Э. Слезингером.
где Р
- явочное число основных рабочих, чел.; С
- режим сменности работы; Н
- норма управляемости для мастера, выражаемая числом обслуживаемых им рабочих мест; С
- средний разряд работ на участке; К
- среднее число операций, закрепленных за одним рабочим местом участка в течение месяца.
При проектировании новых цехов в связи с отсутствием данных о явочном числе основных рабочих количество участков определяется следующим образом:
(11.17)
- Определение степени замкнутости производственных участков. На основе анализа конструктивно-технологической классификации и показателей К
осуществляют отбор и закрепление деталей за участками. Эффективность группового производства определяется степенью замкнутости производственных участков.
Участок является замкнутым, если на нем выполняются все операции по обработке групп деталей (технологическая замкнутость) и станки не загружены выполнением работ по кооперации с других участков (производственная замкнутость).
Количественная оценка степени замкнутости определяется с помощью показателей:
(11.18)
(11.19)
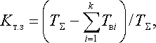
где К
- коэффициент технологической замкнутости; Т
- трудоемкость изготовления деталей, закрепленных за участком, ч; Т
- время обработки i-й детали за пределами участка, ч; k - число деталей, цикл обработки которых не завершается на данном участке; К
- коэффициент производственной замкнутости; T
- время обработки i-й детали, изготовляемой на участке по кооперации; m - количество деталей, переданных для обработки на данный участок по межучастковой кооперации.
Интегральный показатель степени замкнутости К
рассчитывается по формуле
(11.20)
При К
= 1 применение методов группового производства наиболее эффективно.
- Разработка маршрутной карты производственного процесса. Маршрутная карта представляет собой графическое изображение последовательности всех операций, включая перемещение материалов и их ожидание.
- Разработка планировки цеха (участка). Планировка цеха (участка) составляется с учетом общего направления движения материалов. Необходимые данные берут из маршрутной карты производственного процесса. Расстановка оборудования производится по существующим нормативам с максимальным соблюдением прямоточности.
Метод организации синхронизированного производства. Основные принципы организации синхронизированного производства разработаны в 60-е годы в японской компания «Toyota». Метод синхронизированного производства интегрирует ряд традиционных функций организации производственных процессов: оперативного планирования, контроля складских запасов, управления качеством продукции. Суть метода в отказе от производства продукции крупными партиями и создании непрерывно-поточного многопредметного производства, в котором на всех стадиях производственного цикла требуемый узел или деталь поставляется к месту последующей операции точно в необходимое время.
Поставленная цель реализуется путем создания групповых, многопредметных поточных линий и использования принципа вытягивания в управлении ходом производства. Основными правилами организации производственного процесса в этом случае являются:















