Организация производства и управление предприятием (774812), страница 26
Текст из файла (страница 26)
Время межоперационного пролеживания определяется перерывами партионности, ожидания и комплектования. Перерывы партионности возникают при изготовлении изделий партиями и обусловлены тем, что обработанные изделия пролеживают, пока вся партия не пройдет через данную операцию. При этом исходят из того, что производственной партией называется группа изделий одного и того же наименования и типоразмера, запускаемых в производство в течение определенного времени при одном и том же подготовительно-заключительном периоде. Перерывы ожидания вызываются несогласованной длительностью двух смежных операций технологического процесса, а перерывы комплектования - необходимостью ожидания того времени, когда будут изготовлены все заготовки, детали или сборочные единицы, входящие в один комплект изделий. Перерывы комплектования возникают при переходе от одной стадии производственного процесса к другой.
В наиболее общем виде длительность производственного цикла Т
выражается формулой
Т
= Т
+ T
+ Т
+ Т
+ Т
+ Т
+ Т
, (10.1)
где Т
- время технологических операций; T
- время работ подготовительно-заключительного характера; Т
- время естественных процессов; Т
- время контрольных операций; Т
- время транспортирования предметов труда; Т
- время межоперационного пролеживания (внутрисменные перерывы); Т
- время перерывов, обусловленных режимом труда.
Длительность технологических операций и подготовительно-заключительных работ в совокупности образует операционный цикл Т
.
Операционный цикл - это продолжительность законченной части технологического процесса, выполняемой на одном рабочем месте.
Методы расчета длительности производственного цикла. Необходимо различать производственный цикл отдельных деталей и цикл изготовления сборочной единицы или изделия в целом. Производственный цикл детали обычно называют простым, а изделия или сборочной единицы - сложным. Цикл может быть однооперационным и многооперационным. Длительность цикла многооперационного процесса зависит от способа передачи деталей с операции на операцию. Существуют три вида движения предметов труда в процессе их изготовления: последовательный, параллельный и параллельно-последовательный.
При последовательном виде движения вся партия деталей передается на последующую операцию после окончания обработки всех деталей на предыдущей операции. Достоинствами этого метода являются отсутствие перерывов в работе оборудования и рабочего на каждой операции, возможность их высокой загрузки в течение смены. Но производственный цикл при такой организации работ является наибольшим, что отрицательно сказывается на технико-экономических показателях деятельности цеха, предприятия. При параллельном виде движения детали передаются на следующую операцию транспортной партией сразу после окончания ее обработки на предыдущей операции. В этом случае обеспечивается наиболее короткий цикл. Но возможности применения параллельного вида движения ограничены, так как обязательным условием его реализации является равенство или кратность продолжительности выполнения операций. В противном случае неизбежны перерывы в работе оборудования и рабочих. При параллельно-последовательном виде движения деталей с операции на операцию они передаются транспортными партиями или поштучно. При этом происходит частичное совмещение времени выполнения смежных операций, а вся партия обрабатывается на каждой операции без перерывов. Рабочие и оборудование работают без перерывов. Производственный цикл длительнее по сравнению с параллельным, но короче, чем при последовательном движении предметов труда.
Расчет цикла простого производственного процесса. Операционный производственный цикл партии деталей при последовательном виде движения рассчитывается так:
(10.2)
где n - количество деталей в производственной партии, шт.; r
- число операций технологического процесса; t
- норма времени на выполнение каждой операции, мин; С
- количество рабочих мест, занятых изготовлением партии деталей на каждой операции.
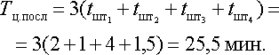
Рис. 10.4, а. График производственных циклов при последовательном движении партий деталей
Схема последовательного вида движения представлена на рис. 10.4, а. По данным, приведенным в схеме, рассчитывается операционный цикл партии, состоящей из трех деталей, обрабатываемых на четырех рабочих местах:
Формула для расчета длительности операционного цикла при параллельном виде движения:
(10.3)
где
- время выполнения операции, самой продолжительной в технологическом процессе, мин.
Рис. 10.4, б. График производственных цикловпри параллельно-последовательном движении партий деталей
График движения партии деталей при параллельном движении приведен на рис. 10.4, б. По графику можно определить длительность операционного цикла при параллельном движении:
При параллельно-последовательном виде движения происходит частичное совмещение во времени выполнения смежных операций. Существует два вида сочетания смежных операций во времени. Если время выполнения последующей операции больше времени выполнения предыдущей операции, то можно применять параллельный вид движения деталей. Если время выполнения последующей операции меньше времени выполнения предыдущей, то приемлем параллельно-последовательный вид движения с максимально возможным совмещением во времени выполнения обеих операций. Максимально совмещенные операции при этом отличаются друг от друга на время изготовления последней детали (или последней транспортной партии) на последующей операции.
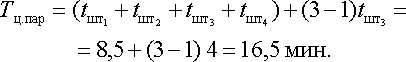
Рис. 10.4, в. График производственных циклов при параллельном движении партий деталей
Схема параллельно-последовательного вида движения приведена на рис. 10.4, в. В данном случае операционный цикл будет меньше, чем при последовательном виде движения, на величину совмещения каждой смежной пары операций: первая и вторая операции - АВ - (3 - l) t
; вторая и третья операции - ВГ = А’Б’ - (3 -1) t
; третья и четвертая операции - ДЕ - (3 - 1) t
(где t
и t
имеют более короткое время t
из каждой пары операций).
Формулы для расчета
При выполнении операций на параллельных рабочих местах:
(10.4)
При передаче изделий транспортными партиями:
(10.5)
где
- время на выполнение наиболее короткой операции.
Пример расчета длительности цикла по формуле (10.5):
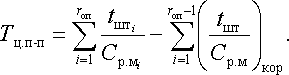
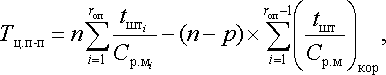
Производственный цикл изготовления партии деталей включает не только операционный цикл, но и естественные процессы и перерывы, связанные с режимом работы, и другие составляющие. В этом случае длительность цикла для рассмотренных видов движения определяется по формулам:
(10.6)
(10.7)
(10.8)
где r
- количество технологических операций; С
- количество параллельных рабочих мест, занятых изготовлением партии деталей на каждой операции; t
- время межоперационного пролеживания между двумя операциями, ч; Т
- длительность одной рабочей смены, ч; d
- число смен; К
- планируемый коэффициент выполнения норм на операциях; К
- коэффициент перевода рабочего времени в календарное; Т
- длительность естественных процессов.
Расчет длительности цикла сложного процесса
Производственный цикл изделия включает циклы изготовления деталей, сборки узлов и готовых изделий, испытательных операций. При этом принято считать, что различные детали изготавливаются одновременно. Поэтому в производственный цикл изделия включается цикл наиболее трудоемкой (ведущей) детали из числа тех, которые подаются на первые операции сборочного цеха. Длительность производственного цикла изделия может быть рассчитана по формуле
(10.9)
где Т
- длительность производственного цикла изготовления ведущей детали, календ. дн.; Т
- длительность производственного цикла сборочных и испытательных работ, календ. дн.
Для определения длительности цикла сложного производственного процесса может быть использован графический метод. Для этого составляется цикловой график. Предварительно устанавливаются производственные циклы простых процессов, входящих в сложный. По цикловому графику анализируется срок опережения одних процессов другими и определяется общая продолжительность цикла сложного процесса производства изделия или партии изделий как наибольшая сумма циклов связанных между собой простых процессов и межоперационных перерывов. На рис. 10.5 приведен цикловой график сложного процесса. На графике справа налево в масштабе времени откладываются циклы частичных процессов, начиная от испытаний и кончая изготовлением деталей.















