dz-statrad (774123)
Текст из файла
Федеральное государственное бюджетное образовательное учреждение
высшего профессионального образования
Факультет РТ
Кафедра РЛ1 «Радиоэлектронные системы и устройства»
Домашняя работа по курсу
«Статистическая радиотехника»
Вариант №1
Работу выполнил:
студент группы РТ1-61 Акимов.Д.
Преподаватель: Нефёдова.Ю.С.
Задание:
Привести для оптимального обнаружителя детерминированного сигнала:
-вывод алгоритма работы оптимального обнаружителя сигнала;
-структурную схему обнаружителя сигнала;
-вывод формул для нахождения вероятности ошибок типа «ложная тревога» и вероятности правильного обнаружения;
-рассчитать и построить характеристики обнаружения.
При построении характеристик обнаружения отношения отношение
менять от 0 до 8 с шагом равным 1; вероятности ошибки типа «ложная тревога» взять равными
,
.
Постановка задачи обнаружения.
Требуется определить правило и соответствующую ему структуру устройства - обнаружителя, которое оптимальным образом по результатам обработки реализации случайного процесса u(t) позволяет принять одно из двух решений 1 – «сигнал есть» или 0 – «сигнал отсутствует».
Реализация случайного процесса имеет вид:
где θ – случайная величина, принимающая значение 1 с вероятностью p и значение 0 с вероятностью 1-p;
s(t) – полезный сигнал;
n(t)- помеха (белый гауссовский шум).
1.Вывод алгоритма работы оптимального обнаружителя сигнала.
Считаем, что алгоритм работы оптимального обнаружителя при дискретной обработке получен. Алгоритм имеет вид:
(1)
где
– отношение правдоподобия;
– пороговое значение.
Если отношение правдоподобия превышает пороговое значение, то верна гипотеза
, а если оно меньше порога, то верна гипотеза
.
Для нахождения алгоритма работы оптимального обнаружителя детерминированного сигнала с непрерывной обработкой воспользуемся равенством Котельникова:
,
где T-длительность сигнала;
- шаг дискретизации;
- максимальная частота, ограниченная спектром сигнала.
Тогда:
(2)
Применим (2) к алгоритму (1):
где
– спектральная плотность мощности шума.
В итоге, имеем:
(3)
где
– энергия сигнала s(t).
Выражение (3) представляет собой алгоритм оптимального обнаружителя детерминированного сигнала при непрерывной обработке. Порог
выбирается в зависимости от используемого критерия. В рамках поставленной задачи будем использовать критерий Неймана - Пирсона. Вычисление порога произведено в пункте 4 работы.
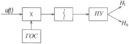
2.Структурная схема обнаружителя сигнала.
Из выражения (3) следует, что оптимальный обнаружитель должен вычислить интеграл
и сравнить его значение с порогом
. При превышении порога решение принимается в пользу гипотезы
, в противном случае – в пользу
. Интеграл, который требуется вычислить, называют корреляционным. Таким образом, оптимальный обнаружитель состоит из коррелятора и порогового устройства – ПУ. Коррелятор, в свою очередь, состоит из перемножителя (X), интегратора и генератора
опорного сигнала (ГОС), представляющего собой копию сигнала s(t).
Рисунок 1.1 – Оптимальный обнаружитель
При реализации корреляционного приемника в виде аналогового устройства часто применяют другую схемную реализацию, в основе которой пассивная электрическая цепь – фильтр. Любой фильтр, у которой на входе сигнал xt, а на выходе сигнал yt может быть описан интегралом свертки:
где h(t) – импульсная характеристика фильтра.
Значение корреляционного интеграла q можно сформировать как отсчет в момент времени t T на выходе фильтра, импульсная характеристика которого ht sT t. Такой фильтр в радиотехнике называют согласованным фильтром (СФ).
Рисунок 1.2 –Структурная схема обнаружителя на основе СФ
Преимущества данной схемы заключается в том, что она не содержит активных элементов, а это преимущество при реализации в аналоговом виде. С другой стороны недостаток данной схемы заключается в том, что при перестройке обнаружителя к другому виду сигнала необходим другой СФ.
Помехоустойчивость схем на корреляционном приёмнике и на СФ одинакова.
3.Вывод формул для нахождения вероятности ошибки типа «ложная тревога» и вероятности правильного обнаружения.
Приведём график распределения величины q при наличии и отсутствии полезного сигнала:
Рисунок 1.3 – Распределения величин
для наличия и отсутствия полезного сигнала.
Ошибка типа «ложная тревога» возникает, когда принято решение 1 – «сигнал есть», а в действительности сигнал отсутствует (то есть верна гипотеза
. Вероятность этого типа ошибки исходя из графика приведённого выше вычисляется по формуле:
где
- распределение напряжения на выходе корреляционного приемника при справедливости гипотезы
.
Вероятность правильного обнаружения определяется:
где
- распределение напряжения на выходе корреляционного приёмника при справедливости гипотезы
.
Пусть справедлива гипотеза
. В этом случае
Найдём выражение для
. Для этого необходимо знать
.
Вычислим параметры данного распределения:
Найдём
:
где
– интеграл вероятности;
– введённая переменная.
Пусть теперь справедлива гипотеза
. В этом случае
Найдём выражение для D. Для этого необходимо знать
.
Вычислим параметры распределения:
.
Вероятность правильного обнаружения:
. (4)
4.Расчёт и построение характеристик обнаружения.
Найдём порог
исходя из критерия Неймана-Пирсона.
Критерий гарантирует, что вероятность одного типа ошибок («ложная тревога») не превзойдёт некоторой наперёд заданой величины (
), а вероятность другого типа ошибок («пропуск сигнала») будет при этом минимальна (при этом вероятность правильного обнаружения будет максимальна).То есть:
при этом
По условию заданы три значения
, которые ограничивают вероятность ошибки типа «ложная тревога». Каждому из этих значений будет соотвествовать кривая на характеристиках обнаружения. Согласно критерию:
(5)
Алгоритм построения характеристик обнаружения:
-
Берём фиксированное значение
; -
В формуле (5) берём
из пункта 1 алгоритма, а отношение
Для каждого из этих значений вычисляем порог
, используя таблицу интеграла вероятности; -
Зная пороги можно вычислить (4) для каждого значения
и
; -
Строим зависимость D(
) для фиксированных
. Получаем три кривых представляющих характеристики обнаружения оптимального обнаружителя детерминированного сигнала.
Таблица 1.1 – Вычисленные согласно алгоритму
и D
|
|
| D | ||||
|
|
|
|
|
|
| |
| 0 | - | - | - | 0 | 0 | 0 |
| 1 | 5.07 | 5.07 | 5.07 | 0 | 0 | 0 |
| 2 | 9.1 | 12.14 | 12.14 | 0.05 | 0 | 0 |
| 3 | 11.58 | 17.07 | 21.21 | 0.22 | 0.04 | 0 |
| 4 | 15 | 19.36 | 26.32 | 0.6 | 0.2 | 0.05 |
| 5 | 18.6 | 23.75 | 28.4 | 0.9 | 0.6 | 0.25 |
| 6 | 19.8 | 28.32 | 34.5 | 1 | 0.9 | 0.6 |
| 7 | 22.4 | 29.4 | 40.04 | 1 | 0.975 | 0.9 |
| 8 | 32.8 | 32.8 | 48 | 1 | 1 | 0.98 |
Воспользуемся результатами приведённой таблицы и построим характеристики обнаружения:
Рисунок 1.4 – Характеристики обнаружения
Примечание – на рисунке 1.4
Характеристики
Тип файла документ
Документы такого типа открываются такими программами, как Microsoft Office Word на компьютерах Windows, Apple Pages на компьютерах Mac, Open Office - бесплатная альтернатива на различных платформах, в том числе Linux. Наиболее простым и современным решением будут Google документы, так как открываются онлайн без скачивания прямо в браузере на любой платформе. Существуют российские качественные аналоги, например от Яндекса.
Будьте внимательны на мобильных устройствах, так как там используются упрощённый функционал даже в официальном приложении от Microsoft, поэтому для просмотра скачивайте PDF-версию. А если нужно редактировать файл, то используйте оригинальный файл.
Файлы такого типа обычно разбиты на страницы, а текст может быть форматированным (жирный, курсив, выбор шрифта, таблицы и т.п.), а также в него можно добавлять изображения. Формат идеально подходит для рефератов, докладов и РПЗ курсовых проектов, которые необходимо распечатать. Кстати перед печатью также сохраняйте файл в PDF, так как принтер может начудить со шрифтами.
Для каждого из этих значений вычисляем порог
;
















