174015 (768110)
Текст из файла
Налогообложение субфедеральных ценных бумаг и финансовые потоки местных органов власти
А.А. Мурынов, аспирант кафедры "Налоги и налогообложение"
В отечественной практике ценные бумаги органов государственной власти субъектов Федерации и органов местного самоуправления получили название субфедеральных ценных бумаг. В отличие от государственных ценных бумаг Российской Федерации субфедеральные ценные бумаги являются более рискованными и менее ликвидными, поэтому равновесная рыночная ставка процента в сфере обращения ценных бумаг местных органов власти, при прочих равных, будет выше, чем на рынке ценных бумаг Федерации. Основной целью осуществления вложений в субфедеральные ценные бумаги для инвестора является получение процентного дохода, который может быть представлен в виде денежного потока, поступающего владельцу ценных бумаг в течение всего периода владения ими. Как составная часть совокупного годового дохода инвестора процентные платежи по субфедеральным ценным бумагам могут рассматриваться как объект налогообложения.
Налогообложение доходов по субфедеральным ценным бумагам
В России процентные доходы, выплачиваемые по ценным бумагам субъектов Федерации и органов местного самоуправления, до 1997 г. не облагались ни подоходным налогом с физических лиц, ни налогом на прибыль предприятий. Однако после внесения изменений и дополнений в закон "О налоге на прибыль предприятий и организаций", в соответствии с законом от 10.01.97 г. № 13-ФЗ, доходы в виде процентов по государственным ценным бумагам субъектов РФ и ценным бумагам органов местного самоуправления, эмитированным после 21.01.97 г., облагаются налогом на прибыль по ставке 15% отдельно от других видов доходов. Суммы налога взимаются у источника выплаты и зачисляются в доход федерального бюджета. В то же время процентные доходы физических лиц по субфедеральным ценным бумагам до настоящего времени не облагаются подоходным налогом.
Рассмотрим финансовые потоки (* Под "финансовым потоком" понимается непрерывный во времени процесс образования и использования фи-нансовых ресурсов. Подробнее см.: Семенкова Е.В. Ценные бумаги в системе финансовых потоков. М., 1998), возникающие в системе "Эмитент - Инвестор - Бюджет", связанные с размещением, обслуживанием, погашением и налогообложением государственных ценных бумаг РФ (рис. 1, а) и субфедеральных ценных бумаг (рис. 1, б).
Анализ финансовых потоков, приведенных на рис. 1, позволяет сделать вывод о том, что введение федерального налога на процентные доходы по субфедеральным ценным бумагам, зачисляемого целиком в федеральный бюджет, приводит к нарушению баланса финансовых потоков в системе "Эмитент - Инвестор - Бюджет". В том случае, когда налогом облагаются доходы по ценным бумагам РФ, получателем налоговых доходов остается федеральный бюджет. Тем самым при определенных обстоятельствах государство может обеспечить более низкую стоимость государственных заимствований (* При условии, если возможности инвесторов по переложению налогового бремени на эмитента ограничены либо имеется возможность переложения этого бремени на другое государство в открытой экономике).
Если же под налогообложение подпадают процентные доходы, выплачиваемые по субфедеральным ценным бумагам, финансовый поток процентного дохода не сопровождается обратным потоком налоговых доходов в региональные и местные бюджеты. Поскольку рынок субфедеральных ценных бумаг является более рискованным и менее ликвидным, чем рынок ценных бумаг государства, можно с уверенностью утверждать, что инвесторы будут стремиться переложить налоговое бремя на самого эмитента - орган государственной власти субъекта РФ либо орган местного самоуправления. Переложение будет достигаться за счет механизма налоговой амортизации, то есть увеличения требуемого рынком уровня доходности по вновь выпускаемым в обращение выпускам субфедеральных ценных бумаг в ответ на введение налогообложения.
В отношении выпусков ценных бумаг местных органов власти, уже находящихся в обращении, будет наблюдаться снижение их курсовой стоимости на вторичном рынке, поскольку текущая рыночная стоимость ценной бумаги, как известно, представляет собой приведенную стоимость денежного потока данной ценной бумаги.
Величина падения рыночной стоимости субфедеральных ценных бумаг, находящихся в обращении на момент введения налога, при прочих равных соответствует дисконтированной стоимости дополнительных процентных расходов местных органов власти, необходимых для того, чтобы при фиксированном уровне рыночной процентной ставки привлечь на финансовом рынке тот же объем кредитных ресурсов, что и до введения налога. В том случае, если эмитент не увеличит купонную ставку по своим долговым ценным бумагам, то при данной рыночной ставке процента он сумеет выручить от продажи ценных бумаг сумму меньшую, чем раньше, так как для инвестора текущая стоимость потока купонного дохода уменьшится на величину уплачиваемых налогов.
Таким образом, действующий в РФ порядок налогообложения доходов юридических лиц по субфедеральным ценным бумагам увеличивает издержки местных органов власти по обслуживанию займов, не компенсируя эти издержки потоком налоговых доходов. Иными словами, при первичном размещении субфедеральных ценных бумаг, доход по которым облагается налогом на прибыль, эмитент получит сумму меньшую, чем при отсутствии налогообложения. Следовательно, для того чтобы профинансировать один и тот же объем расходов на развитие, местный орган власти вынужден будет занимать большую сумму в условиях налогообложения процентных доходов инвесторов, чем при отсутствии такого налогообложения. Больший объем заимствований сопряжен с ростом расходов по обслуживанию долга, что сокращает потенциал финансирования региональных и местных программ развития и социального обеспечения. Снижается эффективность займа, определяемая как соотношение поступлений, полученных от его размещения, и затрат, связанных с обслуживанием и погашением займа.
В том случае, когда налогом облагается процентный доход по облигациям федерального Правительства, рост расходов по обслуживанию долга компенсируется налоговыми поступлениями от обложения процентного дохода, так как источник выплаты дохода и получатель налоговых платежей - один и тот же субъект. При налогообложении процентного дохода по субфедеральным ценным бумагам источник выплаты дохода и получатель налоговых платежей не совпадают.
Поэтому происходит, по сути дела, рост налоговых доходов федерального Правительства за счет увеличения текущих расходов местных органов власти. Часть заемных фондов органов местного самоуправления перераспределяется в форме капитализированных налоговых платежей в пользу федерального бюджета, что существенно ограничивает возможности местных органов власти по использованию субфедеральных займов для целей финансирования развития.
Величина потерь местных бюджетов: анализ факторов
Проанализируем влияние различных факторов на величину дополнительных потерь регионов и муниципалитетов, связанных с налогообложением доходов по их ценным бумагам, на примере купонной облигации с ежегодной уплатой процентов по схеме финансовой ренты постнумерандо и погашением номинала в конце срока обращения. Для упрощения предположим, что участниками рынка являются только юридические лица, что позволит устранить искажающий эффект влияния сделок с физическими лицами, доходы которых не облагаются налогом, на рыночную стоимость ценных бумаг.
До введения налога на доходы по субфедеральным ценным бумагам рыночная стоимость такой ценной бумаги (P0) будет равна:
где N – номинальная стоимость ценной бумаги;
rt – купонная ставка процента для периода (года) t;
n – срок до погашения ценной бумаги, лет;
– коэффициент дисконтирования, определяемый по формуле:
где i – рыночная ставка процента для данного типа ценных бумаг.
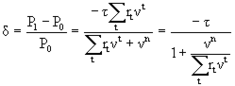
После введения налогообложения процентного дохода по ставке , абсолютная величина членов потока платежей по ценной бумаге уменьшится на (1 – ), что приведет к уменьшению рыночной стоимости подпадающих под налогообложение субфедеральных ценных бумаг. Новая рыночная стоимость для рассматриваемой ценной бумаги будет равна:
Определим относительную величину падения стоимости субфедеральных ценных бумаг вследствие введения налогообложения процентных доходов по ним. Как упоминалось выше, величина падения стоимости служит показателем дополнительных потерь местных органов власти от введения налога, поскольку она соответствует текущей оценке дополнительных процентных выплат, необходимых для обеспечения прежнего объема заимствований региона или муниципального образования.
Относительная величина падения рыночной стоимости вследствие налогообложения для рассматриваемого типа субфедеральных ценных бумаг ( ) составит:
Анализ формулы (4) позволяет сделать следующие выводы:
относительные потери местных органов власти от введения налогообложения субфедеральных ценных бумаг прямо пропорциональны ставке налогообложения;
увеличение срока обращения ценных бумаг, эмитируемых субъектами Федерации и органами местного самоуправления, при прочих равных ведет к увеличению относительных потерь от налогообложения;
чем выше равновесная рыночная норма доходности и оценка рискованности вложений, тем большими будут относительные потери эмитентов субфедеральных ценных бумаг вследствие налогообложения.
На рис. 2 приведены кривые зависимости величины относительных потерь эмитентов субфедеральных ценных бумаг вследствие налогообложения процентных доходов от срока до погашения эмитированных ценных бумаг.
На рис. 2 видно, что величина относительных потерь нарастает по мере увеличения срока обращения ценной бумаги, приближаясь к верхней границе - ставке налогообложения процентного дохода. Причем чем выше рыночная норма доходности (учитывающая и рискованность вложений в данную ценную бумагу), тем больше темп прироста относительных потерь эмитента.
Таким образом, наибольшие потери от налогообложения процентных доходов по субфедеральным ценным бумагам возникают в случае эмиссии ценных бумаг на длительные сроки в условиях высокой рыночной процентной ставки, а также тогда, когда доверие к субфедеральным ценным бумагам падает, что отражается на величине рисковой надбавки к рыночной норме доходности. Данные условия в точности соответствуют ситуации, сложившейся на рынке субфедеральных ценных бумаг после августовского кризиса 1998 г. и сохранившейся по сегодняшний день.
Единственным перспективным направлением развития рынка субфедеральных ценных бумаг является эмиссия облигаций с длительным сроком обращения, предназначенных для финансирования региональных и муниципальных инвестиций, а также облигаций, обеспеченных доходами по конкретным проектам. Уровень процентной ставки на финансовом рынке достаточно высок, а учитывая преобладающую оценку любых субфедеральных ценных бумаг РФ как высокоспекулятивных и, следовательно, рискованных, эмитенты могут получить необходимые кредитные ресурсы только под высокую доходность займов.
Из проведенного исследования может быть сделан вывод о том, что на сегодняшний день принятая в РФ система налогообложения ценных бумаг субъектов Федерации и муниципальных образований существенно ухудшает условия привлечения ими кредитных ресурсов, тормозит развитие рынка субфедеральных ценных бумаг и тем самым препятствует решению многих актуальных проблем местных финансов. В то же время действующая система налогообложения ставит краткосрочные займы в лучшее положение по отношению к долгосрочным, то есть косвенным образом стимулирует выпуск ценных бумаг не для решения проблем регионального и местного развития, а для финансирования дефицитов местных бюджетов. Это неминуемо приведет к общенациональному долговому кризису.
Проблема источников финансирования развития местной инфраструктуры
Понятно, что проблема поиска источников финансирования программ развития регионов и муниципальных образований России является чрезвычайно актуальной, требующей безотлагательного решения. Например, в сфере местного жилищно-коммунального хозяйства (ЖКХ) в ближайшем будущем можно ожидать следующие тенденции.
Во-первых, необходимость реконструкции и замены тысяч зданий стареющего муниципального жилого фонда. Во-вторых, необходимость реконструкции централизованной системы трубопроводов, обеспечивающих тепло- и водоснабжение, а также канализацию. В-третьих, рост текущих расходов местных бюджетов на обслуживание и ремонт стареющих основных фондов в жилищно-коммунальном секторе.
В последнем случае переход на систему полной оплаты всех расходов получателями услуг немедленно вызовет увеличение потребности населения в дополнительном социальном обеспечении. Местные органы власти вынуждены будут субсидировать население своих регионов для оплаты жилищно-коммунальных услуг.
Характеристики
Тип файла документ
Документы такого типа открываются такими программами, как Microsoft Office Word на компьютерах Windows, Apple Pages на компьютерах Mac, Open Office - бесплатная альтернатива на различных платформах, в том числе Linux. Наиболее простым и современным решением будут Google документы, так как открываются онлайн без скачивания прямо в браузере на любой платформе. Существуют российские качественные аналоги, например от Яндекса.
Будьте внимательны на мобильных устройствах, так как там используются упрощённый функционал даже в официальном приложении от Microsoft, поэтому для просмотра скачивайте PDF-версию. А если нужно редактировать файл, то используйте оригинальный файл.
Файлы такого типа обычно разбиты на страницы, а текст может быть форматированным (жирный, курсив, выбор шрифта, таблицы и т.п.), а также в него можно добавлять изображения. Формат идеально подходит для рефератов, докладов и РПЗ курсовых проектов, которые необходимо распечатать. Кстати перед печатью также сохраняйте файл в PDF, так как принтер может начудить со шрифтами.















